原创文章,转载请说明来自《老饼讲解神经网络》:bp.bbbdata.com
关于《老饼讲解神经网络》:
本网结构化讲解神经网络的知识,原理和代码。
重现matlab神经网络工具箱的算法,是学习神经网络的好助手。
目录
一.数据
二.确定模型结构与训练算法
三.代码实现
四. 网络预测
五. 获取最终的数学表达式
在本文,展示一个matlab2014实现神经网络的例子。
一.数据
数据如下,x1,x2为输入,y为对应的输出,现需要训练一个网络,用x1,x2预测y.

二.确定模型结构与训练算法
我们这里采用的网络结构如下:
1:节点个数设置: 输入层、隐层、输出层的节点个数分别为[2 ,3,1]。
2:传递函数设置:隐层( tansig函数)。输出层(purelin函数)。
3:训练方式:trainlm。则模型结构拓扑图如下:
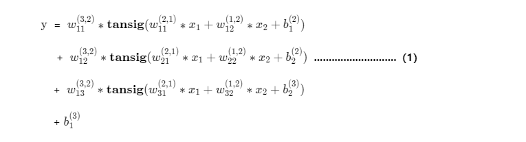
模型的数学表达式如下:
三.代码实现
在matlab2014b里写代码:
x1 = [-3,-2.7,-2.4,-2.1,-1.8,-1.5,-1.2,-0.9,-0.6,-0.3,0,0.3,0.6,0.9,1.2,1.5,1.8];% x1:x1 = -3:0.3:2;
x2 = [-2,-1.8,-1.6,-1.4,-1.2,-1,-0.8,-0.6,-0.4,-0.2,-2.2204,0.2,0.4,0.6,0.8,1,1.2]; % x2:x2 = -2:0.2:1.2;
y = [0.6589,0.2206,-0.1635,-0.4712,-0.6858,-0.7975,-0.8040,...
-0.7113,-0.5326,-0.2875 ,0,0.3035,0.5966,0.8553,1.0600,1.1975,1.2618]; % y: y = sin(x1)+0.2*x2.*x2;
inputData = [x1;x2]; % 将x1,x2作为输入数据
outputData = y; % 将y作为输出数据
setdemorandstream(88888);%指定随机种子,这样每次训练出来的网络都一样。
%使用用输入输出数据(inputData、outputData)建立网络,
%隐节点个数设为3.其中隐层、输出层的传递函数分别为tansig和purelin,使用trainlm方法训练。
net = newff(inputData,outputData,3,{'tansig','purelin'},'trainlm');
%设置一些常用参数
net.trainparam.goal = 0.0001; % 训练目标:均方误差低于0.0001
net.trainparam.show = 400; % 每训练400次展示一次结果
net.trainparam.epochs = 15000; % 最大训练次数:15000.
[net,tr] = train(net,inputData,outputData); % 调用matlab神经网络工具箱自带的train函数训练网络
simout = sim(net,inputData); % 调用matlab神经网络工具箱自带的sim函数得到网络的预测值
figure; % 新建画图窗口窗口
t=1:length(simout);
plot(t,y,t,simout,'r') % 画图,对比原来的y和网络预测的y
运行后得到训练的图:

四. 网络预测
若果想知道x1=0.5,x2=0.5时的值,可输入
x =[0.5;0.5];
simy = sim(net,x)
命令窗口输出:

这样,就得到了输入为 [0.5,0.5] 时,y的预测值。
五. 获取最终的数学表达式
实际上训练好的网络net, 就是上面的(1)式的数学函数,
预测的时候可以直接使用神经网络工具箱的 sim(net,x) 函数进行预测,
但如果一定要把这个数学表达式提取出来呢?
以下两张文章都有所介绍:
(1)《 提取神经网络数学表达式 》
(2)《一个BP的完整代码实现》
相关文章
《BP神经网络梯度推导》
《BP神经网络提取的数学表达式》
《一个BP的完整建模流程》
最后
以上就是留胡子玫瑰最近收集整理的关于一个简单的BP神经网络例子的全部内容,更多相关一个简单内容请搜索靠谱客的其他文章。
本图文内容来源于网友提供,作为学习参考使用,或来自网络收集整理,版权属于原作者所有。


发表评论 取消回复