通信原理大作业中的一部分,使用matlab仿真:
产生信道高斯白噪声,设计信道带通滤波器对高斯白噪声进行滤波,得到窄带高斯噪声。对信道带通滤波器的输入输出的噪声的时域、频域特性进行统计和分析,画出其时域和频域的图形。
高斯白噪声产生
首先确定采样频率和总时长,以此确定总采样点数和时间向量:
fs=1000;%采样频率hz
T_N=1;%总时间s
t=1/fs:1/fs:T_N;%时间向量
L=T_N*fs;%样本数量
然后用wgn产生高斯噪声:
z=wgn(L,1,power);
当然,也可以用原始的产生正态随机数的方法:
z=sigma.*randn(L,1)
注意power的单位是dbW,转换公式如下:
p
(
d
B
w
)
=
10
log
P
(
W
)
p (dBw) = 10log P (W)
p(dBw)=10logP(W)
如果功率P为1w,折算为dBw后为0dBw。
另外高斯白噪声的方差是噪声功率:
P
=
σ
2
P=sigma^2
P=σ2
下面到了关键的环节,快速(离散)傅里叶变换fft:
fft_z=fft(z);
对噪声z从时域转换为频域,注意到如果要获得单边频谱,还需要做以下操作:
P = abs(fft_z/L);%取幅频特性,除以L
P = P(1:L/2+1);%截取前半段
P(2:end-1)=2*P(2:end-1);%单侧频谱非直流分量记得乘以2
f = fs*(0:(L/2))/L;%频率,最多到一半(奈奎斯特采样定理)
fft的结果是关于采样频率的一半对称的,幅度需要除以采样点个数L。从双边谱到单边谱需要对非直流分量乘以2。注意到由于奈奎斯特采样定理,原信号的最大频率不会超过采样频率的一半。假如我们设置采样频率为1000Hz,那么频域的最大频率也就是500Hz。
这些操作都是从mathwork官网上找到的,参考链接。不得不说matlab的帮助文档尤其是里面的示例真香!
高斯白噪声的时域和频域图如下:

白噪声白噪声,就是频谱上也是到处都是高斯分布。
巴特沃斯滤波器
用butter函数获得8阶巴特沃斯滤波器系数,带通范围100-200Hz
[b,a]=butter(8,[100/(fs/2),200/(fs/2) ]);
第一个参数是滤波器阶数,第二个参数是归一化的带通频率,注意到fs/2是信号的最大频率。
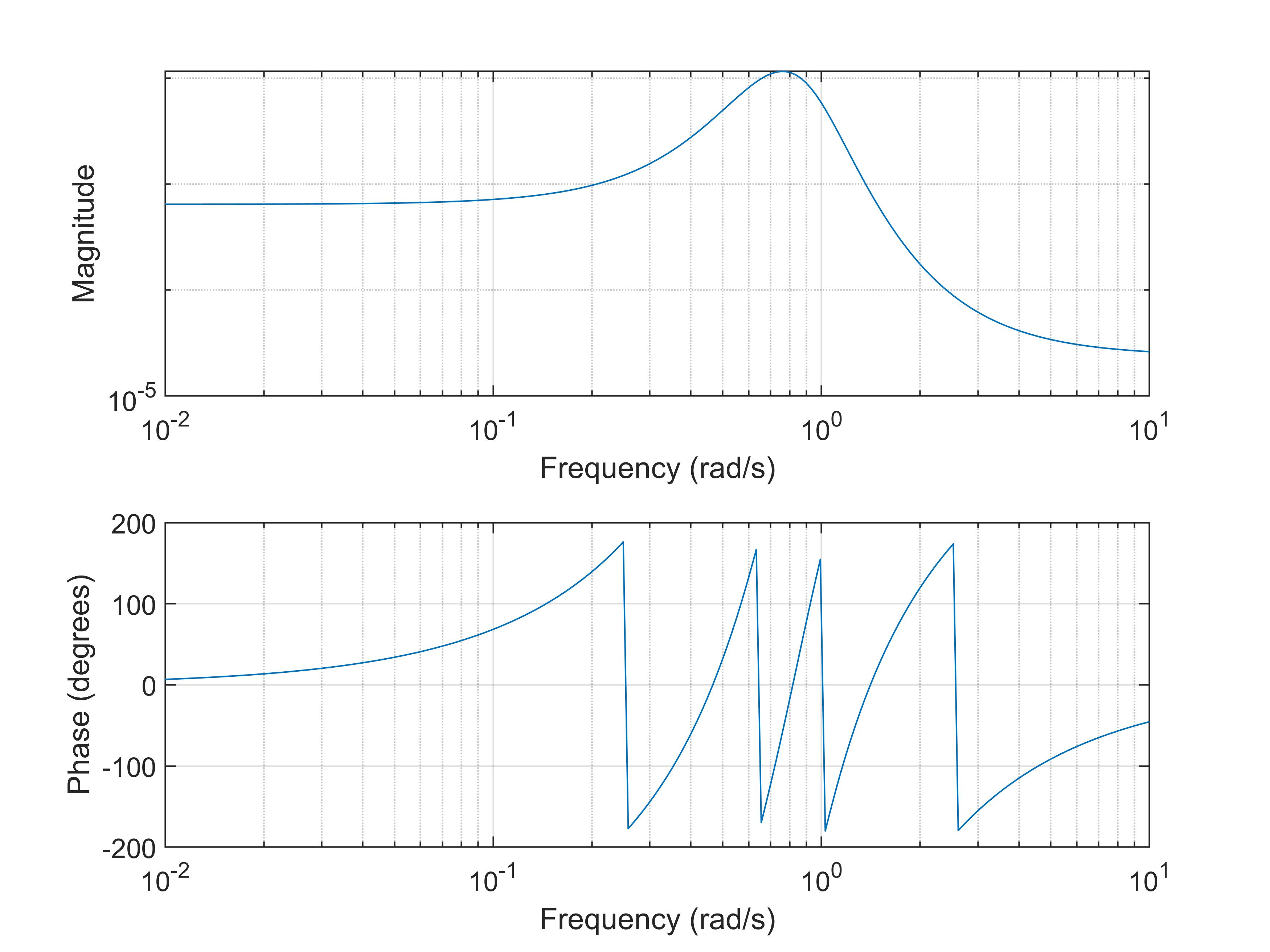
用下面这个函数可以画出滤波器特性曲线:
freqs(b,a)

(我其实看不懂)
滤波
用flutter函数快乐的滤波~
lvbo_z=filter(b,a,z);
应该是对原时域信号z滤波,我原先这里对fft后的信号滤波了,结果怎么都不对,debug了好久。
滤波后的信号lvbo_z也是个时域信号,用上述相同的办法fft后画单边频谱,可以得到窄带高斯噪声:

可以明显发现滤波后的信号时域上看起来更奇怪了,频域上看,是把100-200Hz频率分量保留,其余频率分量滤除了。
做个对比,带通范围调到300-400Hz:
频率更高了,波形看起来更密了。
刚刚学了怎么做动图,这就做了个放个对比图在这里:

好家伙,制作动图都要花钱,不花钱就给你贴水印,这一点也不开源。
全部代码:
fs=1000;%采样频率hz
T_N=1;%总时间s
t=1/fs:1/fs:T_N;%时间向量
L=T_N*fs;%样本数量
power=3;%噪声功率,单位为dbw
z=wgn(L,1,power);
subplot(2,1,1)
plot(t,z)
xlabel("时间/s")
ylabel("幅度/v")
title("高斯白噪声(时域)")
fft_z=fft(z);%快速傅里叶变换之后的噪声
P = abs(fft_z/L);%取幅频特性,除以L
P = P(1:L/2+1);%截取前半段
P(2:end-1)=2*P(2:end-1);%单侧频谱非直流分量记得乘以2
f = fs*(0:(L/2))/L;%频率,最多到一半(奈奎斯特采样定理)
subplot(2,1,2)
plot(f,P)
xlabel("频率/Hz")
ylabel("幅度/v")
title("高斯白噪声(频域)")
[b,a]=butter(8,[300/(fs/2),400/(fs/2) ]);%获得8阶巴特沃斯滤波器系数,100-200Hz
figure(2)
freqs(b,a)%画滤波器特性曲线
lvbo_z=filter(b,a,z);%滤波
figure(3)
subplot(2,1,1)
plot((lvbo_z))
xlabel("时间/Hz")
ylabel("幅度/v")
title("窄带高斯噪声(时域)")
fft_lvbo_z=fft(lvbo_z);%傅里叶变换
P = abs(fft_lvbo_z/L);%取幅频特性,除以L
P = P(1:L/2+1);%截取前半段
P(2:end-1)=2*P(2:end-1);%单侧频谱非直流分量记得乘以2
subplot(2,1,2)
plot(f,P)
xlabel("频率/Hz")
ylabel("幅度/v")
title("窄带高斯噪声(频域)")
书上的知识,尤其是技术上的,网络上还真是难找啊。
谢邀,通信原理80,班里倒数。
最后
以上就是光亮超短裙最近收集整理的关于Matlab用巴特沃斯带通滤波器产生窄带高斯噪声并进行时域频域分析的全部内容,更多相关Matlab用巴特沃斯带通滤波器产生窄带高斯噪声并进行时域频域分析内容请搜索靠谱客的其他文章。
发表评论 取消回复