数学建模的优点:
(1)SimscapeElectrical 和 Specialized Power System 模型库都是黑盒的,只能使用,不能进行二次修改。
(2)自己开发的模型都是白盒的,可以很方便的增加新特性,例如电机的饱和特性、谐波特性,齿槽转矩,温度变化,损耗等,让你的仿真系统越来越符合实际系统。
(3)自己在研究物理对象的数学方程过程中,进一步加深了对物理对象的理解,此外这些数学方程对于设计控制算法非常有帮助。
(4)Specialized Power System 模块库中的模型不能下载至 FPGA 中运行,而使用基本的 Simulink 模块开发的模型不仅可以下载至 CPU 中运行, 而且可以下载 FPGA 中运行。
(5)随着 SiC 等器件的出现,电力电子系统的开关频率越来越高,自己开发的模型占用的FPGA 资源更小和运行的速度更快,可以满足更大规模、更高开关频率(兆赫兹)等仿真的需求。
(6)自己开发的模型不受平台的限制,通过 Simulink Coder工具生成 C 代码,可以运行在几乎所有的处理器中,通过HDL Coder工具生成 HDL 代码,可以运行在几乎所有的 FPGA 中。
永磁同步电机电气模型:
(1)基本永磁同步电机:采用固定的电机参数,反映电流和磁场使线性关系。
(2)饱和永磁同步电机:采用变化的电机参数,反映电流和磁场使非线性饱和关系。
(3)谐波永磁同步电机:采用变化的电机参数,不仅反映电流和磁场非线性饱和关系,而且磁场还和转子位置相关。
1、模型的建立:
(1)连续式Continuous:Continuous模块库采用的都是和“S”相关的模块,也就是Laplace变换中的算子,通过在Model Settings的Solver selection中选择相应的Sovler(解算器),Simulink就自动的完成模型的离散化,而不需要用户来处理这些问题。

(2)离散式Discrete:使用Discrete模块库需要用户对模型进行离散化,将连续模型转化为离散模型,将“S”转化为“Z”。

常用的离散方法:
(1)前向欧拉法:

(2)后项欧拉法:

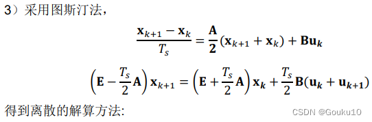
(3)Tustin法:

特点:

2、定步长与变步长:
在Simulink中不论是定步长还是变步长仿真,所有的仿真都会有仿真步长,差别只是:定步长一般是由人为指定的,变步长是根据容差等条件在仿真时由Simulink自动确定,因此所有Simulink模型在进行仿真时都是离散的。变步长也就是当相邻周期仿真结果相差较大时,超过了simulink所设定的最大误差,则会自动在此周期内插入更小的step。
变步长:仿真精度极高,仿真速度较慢,适用于小规模系统(少于50个电气状态和少于25个电子开关),使用连续式建模变步长方式,推荐使用ode23tb解算器
定步长:系统规模较大,采用离散式建模,tustin方法准确度最高,后向欧拉稳定好更好,仿真精度和仿真步长相关,对于电力电子系统,仿真步长一般为PWM开关周期的1/200。
在定步长仿真模式下,连续式解算器和离散式解算器主要针对模型中是否有连续状态,有“major step”和“minor step”概念,在离散式解算器下,不管有没有连续状态,maior step就是固定步长,而连续解算器在有连续状态时,存在minor step,主动对固定步长内进行更加细分达到更高精度,使其“看起来”更像是“连续状态”。例如微分,但通常在模型中会提前进行离散化,因此加减乘除成为主要的计算过程。
对于定步长仿真,不管是连续式还是离散式建模,都是仿真步长越小精度越高。
3、三相两电平逆变器数学建模
拓扑结构如下图所示,由6个全控开关器件和6个反向并联的续流二极管组成,每2个全控开关器件和2个反向并联的续流二极管组成1个H半桥,一共3个H半桥。目 前常用的全控器件为IGBT和 MOSFET。

难点:(1)仿真器件开通和关断过程的波形。因为这个过程与器件本身的特性(结电容,结温等)、驱动电路(驱动电阻等)、 外围电路(低感母排的结构),模块内部的结构(键合线等),输入的电流、反向 电压等有关。

(2)仿真器件的损耗。但是电力电子器件损耗包括:通态损耗、 断态损耗、开通损耗、关断损耗,这个同样很难实时模拟,原因和上面那个问题 是一样的。有一个折中的办法,就是将已经测试得到的此型号器件在不同电流、 电压、温度下的损耗数据,在实时仿真时,可以直接通过 Look up table 查表得 到。或者只是验证算法对于器件损耗的趋势性变化。
可实现仿真:(1)开通延时,通过 delay 模块实现;
(2)关断延时,通过 delay 模块实现;
(3)稳态下的导通饱和压降,可以通过 Look up table 或者线性函数实现。
4、旋转变压器数学建模
目前,旋转变压器(Resolver,简称旋变)以可变磁阻式旋转变压器应用广泛, 由转子和定子铁芯组成。这个定子为单相励磁线圈绕组(R1− R2)和两相输出线圈绕组(S1− S3, S2 − S4)。

当励磁线圈由交流电压激励时,交流输出电压在输出线圈中感应。当转子旋转时,因为磁路中提供的间隙(磁导率)在一个周期内随转子的旋转角度变化, 两相输出线圈绕组的输出电压也随转子变化。
两个定子绕组机械位置相差 90°,励磁线圈绕组采用交流基准源激励 ????????sin ????????,随后在定子输出线圈绕组上的耦合的幅度 是 转子相对于定子的位置的函数,旋变的输出线圈绕组(S1− S3, S2 − S4)的输出电压 Va 和 Vb 的计算公式如下:
????????(S2 − S4) = ???????? sin ???????? × cos ????
????????(S1 − S3) = ???????? sin ???????? × sin ????
其中 :
θ 转子角
???? 转子激励频率
Vs 输出线圈绕组输出幅值

对于这个模型有几个说明:
(1)因为旋变模型输出的信号为 10k 或者 20k 的正弦或者余弦调制信号,因此模型的步长一般小于 1µs,需要放在 FPGA 中运行。
(2)虽然模型的数据类型为 Single(单精度浮点),但是因为 Simulink 的 HDL Coder 工具可以支持生成 Single(单精度浮点)的 FPGA 模型,降低了 Resolver 模型的开发难度,简化了开发流程,减少了开发的工作量。
(3)因为旋变信号解析 RDC 芯片有 DOS 和 LOT 等故障检测功能,为了测试此功能,需要在 Sine 和 Cosine 信号的引入幅值和相位误差,来模拟此类故障。
(4)因为旋变信号解析 RDC 芯片输入的信号都是差分形式,以及有的 RDC 芯片为电流型,因此需要增加一块信号调理板卡,用于信号类型和电阻值的匹配。
5、永磁同步电机控制器模型
(1)多速率仿真
通常电机控制模型中包含多种电力电子器件,不同的器件具有不同的仿真速率,
可以分为 控制器 和 被控对象 仿真速率。
被控对象,例如电机模型和逆变器,希望仿真速率越快越好。
选择多快的仿真速率,和PWM频率,逆变器的死区时间以及模型的解算方式有关。对于10khz开关频率,仿真速率是开关频率的100倍,因此为1Mhz(仿真步长1µs),如果死区时间为 2µs, 那么仿真步长是死区时间的 1/10(0.2µs),此时仿真速率就是 5MHz。
PWM 比较器模型部分通常情况下,PWM 比较器的三角波都是通过一个高频率时钟进行计数来产生的。这个时钟一般都大于10MHz,以保证 PWM 输出占空比的调节精度。
控制器模型部分,其仿真速率一般与开关频率相关,为开关频率的整数倍。
(2)同步与异步
同步与异步是一个相对的概念。例如永磁同步电机控制系统中
常规永磁同步电机控制的实际流程,包括以下几个步骤:
1) 采样和保持电机电流值,ADC 转换电机电流值;
2) 读取电机速度和位置值(图中未标出;
3) 运行电机控制和 SVPWM 算法;
4) 输出和更新 PWM 占空比。
其中步骤 1 的电流采样和步骤 4 的更新 PWM 占空比必须在同一时刻完成的。

如果把电机控制算法看作一个任务,这个任务相对被控对象模型就是异步的。但是这个任务相对于 PWM-Timer 却是同步的。
最后
以上就是勤奋星月最近收集整理的关于Simulink数学建模的全部内容,更多相关Simulink数学建模内容请搜索靠谱客的其他文章。
发表评论 取消回复