【OpenGL】计算机图形学-练习题2
- 一、题目一
- 1.1 作业题目
- 1.2 作业解答
- 二、题目二
- 2.1 作业题目
- 2.2 作业解答
- 三、题目三
- 3.1 作业题目
- 3.2 作业解答
一、题目一
1.1 作业题目

1.2 作业解答

二、题目二
2.1 作业题目


2.2 作业解答

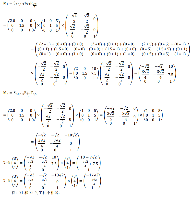
三、题目三
3.1 作业题目

3.2 作业解答


最后
以上就是现实铃铛最近收集整理的关于【OpenGL】计算机图形学-练习题2一、题目一二、题目二三、题目三的全部内容,更多相关【OpenGL】计算机图形学-练习题2一、题目一二、题目二三、题目三内容请搜索靠谱客的其他文章。
本图文内容来源于网友提供,作为学习参考使用,或来自网络收集整理,版权属于原作者所有。
发表评论 取消回复