我是靠谱客的博主 迅速冬日,这篇文章主要介绍Game101现代计算机图形学入门学习笔记(八)一、材质二、漫反射材质(BRDF)三、Glossy材质(BRDF)四、理想的反光材质(BSDF)五、反射三、折射四、菲涅尔项五、微平面材质六、Isotropic / Anisotropic材质(BRDFs)七、BRDF的属性八、BRDF的测量九、参考和引用,现在分享给大家,希望可以做个参考。

材质与外观

  • 一、材质
  • 二、漫反射材质(BRDF)
  • 三、Glossy材质(BRDF)
  • 四、理想的反光材质(BSDF)
  • 五、反射
    • 1、完美的镜面反射
  • 三、折射
  • 四、菲涅尔项
    • 1、精确计算
    • 2、近似估计
  • 五、微平面材质
    • 1、微平面理论
  • 六、Isotropic / Anisotropic材质(BRDFs)
    • 1、各向同性(Isotropic)
    • 2、各向异性( Anisotropic)
  • 七、BRDF的属性
    • 1、非负性
    • 2、线性
    • 3、可逆性
    • 4、能量守恒
    • 5、各向同性和各向异性
  • 八、BRDF的测量
    • 1、提高效率
  • 九、参考和引用

一、材质

图形学中材质就是 BRDF,因为 BRDF 描述了光线打到物体表面是如何被反射的,它所反射的范围是表面半球。

二、漫反射材质(BRDF)

光线在各个方向均匀反射。
L o ( w o ) = π f r L i L_o(w_o)=pi f_r L_i Lo(wo)=πfrLi
f r = ρ π f_r=frac{rho}{pi} fr=πρ ρ rho ρ是反射率
在这里插入图片描述

三、Glossy材质(BRDF)

一种更加粗糙的材质,表面会产生沿一个方向的散射。
在这里插入图片描述

四、理想的反光材质(BSDF)

在这里插入图片描述

五、反射

1、完美的镜面反射

在这里插入图片描述
θ = θ o = θ i theta=theta_o=theta_i θ=θo=θi
w o + w i = 2 c o s θ n ⃗ = 2 ( w i ⋅ n ⃗ ) n ⃗ w_o +w_i =2 cos theta vec{n}=2(w_i cdot vec{n}) vec{n} wo+wi=2cosθn =2(win )n
从上往下看:
ϕ o = ( ϕ i + π ) m o d 2 π phi_o=(phi_i+pi) mod 2pi ϕo=(ϕi+π)mod2π

三、折射

折射可以通过 Snell’s Law 进行计算
在这里插入图片描述
计算折射角:
η i s i n θ i = η t s i n θ t eta_i sintheta_i=eta_t sintheta_t ηisinθi=ηtsinθt
c o s θ t = 1 − s i n 2 θ t cos theta_t=sqrt{1-sin^2theta_t} cosθt=1sin2θt
c o s θ t = 1 − ( η i η t ) 2 s i n 2 θ i cos theta_t=sqrt{1-(frac{eta_i}{eta_t})^2 sin^2theta_i} cosθt=1(ηtηi)2sin2θi
c o s θ t = 1 − ( η i η t ) 2 ( 1 − c o s 2 θ i ) cos theta_t=sqrt{1-(frac{eta_i}{eta_t})^2 (1-cos^2theta_i)} cosθt=1(ηtηi)2(1cos2θi)

四、菲涅尔项

  • 当视线与观察物体表面越趋于平行时,反射的能量越多;反之反射的能量越少。
    在这里插入图片描述

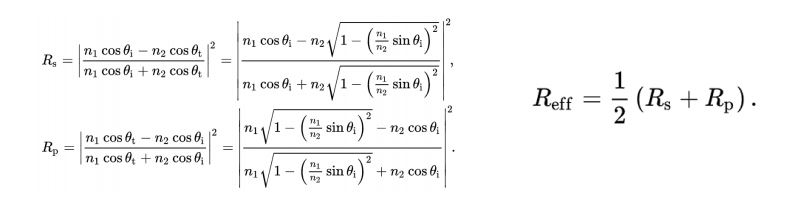
1、精确计算

  • 需要计算出两个极化的反射率,然后求平均
  • 在这里插入图片描述

2、近似估计

  • Schlick近似
    R ( θ ) = R 0 + ( 1 − R 0 ) ( 1 − c o s θ ) 5 R(theta)=R_0+(1-R_0)(1-costheta)^5 R(θ)=R0+(1R0)(1cosθ)5
    R 0 = ( n 1 − n 2 n 1 + n 2 ) 2 R_0=(frac{n_1-n_2}{n _1+n_2})^2 R0=(n1+n2n1n2)2

五、微平面材质

1、微平面理论

  • 微平面理论假设物体表面由不同方向的微小平面组成。每一个微小平面都会根据它的法线方向在一个方向上反射光线。
  • 远处看是材质,近处是几何。
  • 微平面理论用于模拟三种现象:
    1、光滑的平面表面法向分布较为一致,粗糙的平面表面法线分布较为杂乱。
    2、在粗糙的表面上,微平面可以遮挡其他的微平面的光线,在其他微平面上投射阴影。
    3、菲涅尔现象。
    在这里插入图片描述

f ( i , o ) = F ( i , h ) G ( i , o , h ) D ( h ) 4 ( n , i ) ( n , o ) f(i,o)=frac{F(i,h)G(i,o,h)D(h)}{4(n,i)(n,o)} f(i,o)=4(n,i)(n,o)F(i,h)G(i,o,h)D(h)
F ( i , h ) F(i,h) F(i,h):菲涅尔项,根据入射角度得到不同的反射率。
G ( i , o , h ) G(i,o,h) G(i,o,h):几何衰减函数(shadowing masking term),它解释了微平面彼此之间的阴影和遮罩。
D ( h ) D(h) D(h):法线分布函数,只有法线与半程向量相同的光线才会被接收。

六、Isotropic / Anisotropic材质(BRDFs)

潜在表面的方向性不同,会导致呈现不同的高光。当表面法线存在较多方向性时,会出现这种条纹状高光项(Anisotropic),反则会出现圆形状高光项(Isotropic)。
在这里插入图片描述

1、各向同性(Isotropic)

各个方向的法线相同。

2、各向异性( Anisotropic)

各个方向的法线都不同。
各向异性BRDF:磨过的金属、尼龙、天鹅绒

七、BRDF的属性

1、非负性

f r ( w i → w r ) ≥ 0 f_r(w_irightarrow w_r)geq0 fr(wiwr)0

2、线性

分成多个部分后做光线传播和整体做光线传播是一样的。
L r ( p , w r ) = ∫ H 2 f r ( p , w i → w r ) L i ( p , w i ) c o s θ i w i L_r(p,w_r)=int_{H^2}f_r(p,w_irightarrow w_r)L_i(p,w_i)costheta_i w_i Lr(p,wr)=H2fr(p,wiwr)Li(p,wi)cosθiwi

3、可逆性

f r ( w i → w r ) = f r ( w r → w o ) f_r(w_irightarrow w_r) =f_r(w_rrightarrow w_o) fr(wiwr)=fr(wrwo)
在这里插入图片描述

4、能量守恒

∀ w r ∫ H 2 f r ( w i → w r ) c o s θ w i ≤ 1 forall w_rint_{H^2}f_r(w_irightarrow w_r)costheta w_ileq1 wrH2fr(wiwr)cosθwi1

5、各向同性和各向异性

1、如果是各向同性: f r ( θ i , ϕ i ; θ r , ϕ r ) = f r ( θ i , θ r , ϕ r − ϕ i ) f_r(theta_i,phi_i;theta_r,phi_r)=f_r(theta_i,theta_r,phi_r-phi_i) fr(θi,ϕi;θr,ϕr)=fr(θi,θr,ϕrϕi)
则有可逆性:
f r ( θ i , θ r , ϕ i − ϕ r ) = f r ( θ r , θ i , ϕ r − ϕ i ) = f r ( θ i , θ r , ∣ ϕ r − ϕ i ∣ ) f_r(theta_i,theta_r,phi_i-phi_r)=f_r(theta_r,theta_i,phi_r-phi_i)=f_r(theta_i,theta_r,|phi_r-phi_i|) fr(θi,θr,ϕiϕr)=fr(θr,θi,ϕrϕi)=fr(θi,θr,ϕrϕi)

八、BRDF的测量

  • 1、避免去生成模型
  • 2、可以精确使用真实世界的材质。
    工具: gonioreflectometer

1、提高效率

  • 如果具有各向同性,可以将4维降为3维
  • 如果具有可逆性,可以只用测量一半
    BRDF库:MERL

九、参考和引用

[1] bilibili:GAMES101-现代计算机图形学入门-闫令琪
[2] 材质与外观.pdf
[3] CSDN:GAMES101-现代计算机图形学学习笔记(17)

最后

以上就是迅速冬日最近收集整理的关于Game101现代计算机图形学入门学习笔记(八)一、材质二、漫反射材质(BRDF)三、Glossy材质(BRDF)四、理想的反光材质(BSDF)五、反射三、折射四、菲涅尔项五、微平面材质六、Isotropic / Anisotropic材质(BRDFs)七、BRDF的属性八、BRDF的测量九、参考和引用的全部内容,更多相关Game101现代计算机图形学入门学习笔记(八)一、材质二、漫反射材质(BRDF)三、Glossy材质(BRDF)四、理想的反光材质(BSDF)五、反射三、折射四、菲涅尔项五、微平面材质六、Isotropic内容请搜索靠谱客的其他文章。

本图文内容来源于网友提供,作为学习参考使用,或来自网络收集整理,版权属于原作者所有。
点赞(173)

评论列表共有 0 条评论

立即
投稿
返回
顶部