160. 相交链表
编写一个程序,找到两个单链表相交的起始节点。
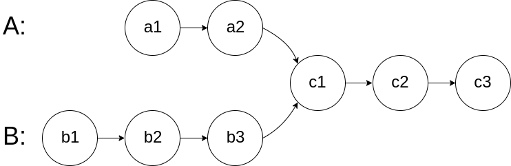
如下面的两个链表:

在节点 c1 开始相交。
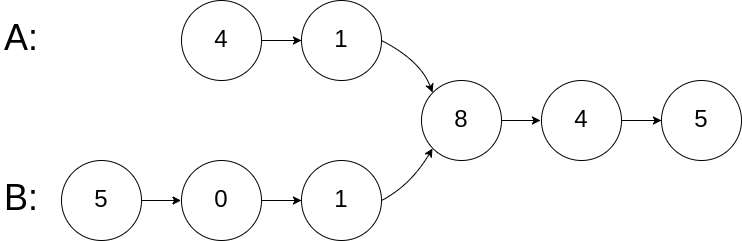
示例 1:

输入:intersectVal = 8, listA = [4,1,8,4,5], listB = [5,0,1,8,4,5], skipA = 2, skipB = 3
输出:Reference of the node with value = 8
输入解释:相交节点的值为 8 (注意,如果两个链表相交则不能为 0)。从各自的表头开始算起,链表 A 为 [4,1,8,4,5],链表 B 为 [5,0,1,8,4,5]。在 A 中,相交节点前有 2 个节点;在 B 中,相交节点前有 3 个节点。
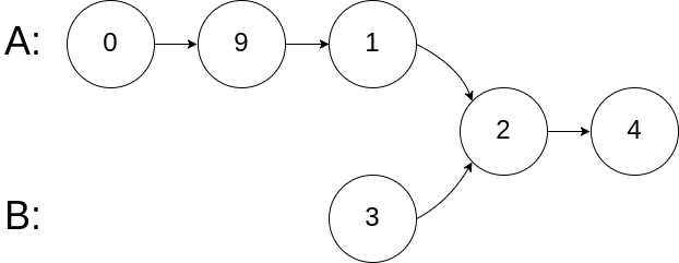
示例 2:

输入:intersectVal = 2, listA = [0,9,1,2,4], listB = [3,2,4], skipA = 3, skipB = 1
输出:Reference of the node with value = 2
输入解释:相交节点的值为 2(注意,如果两个链表相交则不能为 0)。从各自的表头开始算起,链表 A 为 [0,9,1,2,4],链表 B 为 [3,2,4]。在 A
中,相交节点前有 3 个节点;在 B 中,相交节点前有 1 个节点。
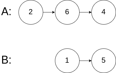
示例 3:

输入:intersectVal = 0, listA = [2,6,4], listB = [1,5], skipA = 3, skipB = 2
输出:null
输入解释:从各自的表头开始算起,链表 A 为 [2,6,4],链表 B 为 [1,5]。由于这两个链表不相交,所以 intersectVal 必须为 0,而 skipA 和 skipB 可以是任意值。
解释:这两个链表不相交,因此返回 null。
注意:
如果两个链表没有交点,返回 null.
在返回结果后,两个链表仍须保持原有的结构。
可假定整个链表结构中没有循环。 程序尽量满足 O(n)
时间复杂度,且仅用 O(1) 内存。
简单介绍:
难度:简单
使用语言:JAVA。
这道题来自leetcode题库的链表算法标签。
解题思路:
首先看题、分析题意:
1.如何消除链表长短不一的问题
既然,我们已经分析出来题目的关键任务了,下面我们就可以开始思考实现了。
我们采用算法与数据结构的思路来剖析一下这题
数据结构:
要实现对数据的操作,我们要先明确存储数据的数据结构。
1.ListNode - 题目所给的数据结构
算法1
- 计算链表长度,将较长的一边的指针挪到较短一边的相同位置,同时进行遍历
- 相同则找到,不同的为null
public class Solution {
public ListNode getIntersectionNode(ListNode headA, ListNode headB) {
int listALen = getListLength(headA);
int listBLen = getListLength(headB);
if(listALen > listBLen){
headA = forwardLongList(listALen,listBLen,headA);
}else{
headB = forwardLongList(listBLen,listALen,headB);
}
while(headA != null && headB != null){
if(headA == headB){
return headA;
}
headA = headA.next;
headB = headB.next;
}
return null;
}
// 遍历链表,计算长度
int getListLength(ListNode head){
int len = 0;
while(head != null){
head = head.next;
len ++;
}
return len;
}
//将指针移动到相同的位置
ListNode forwardLongList(int longLen, int shortLen, ListNode head){
int distance = longLen - shortLen;
while(head != null && distance >0){
head = head.next;
distance --;
}
return head;
}
}

算法2 - 双指针:
- 指针 pA 指向 A 链表,指针 pB 指向 B 链表,依次往后遍历
- 如果 pA 到了末尾,则 pA = headB 继续遍历
- 如果 pB 到了末尾,则 pB = headA 继续遍历
- 比较长的链表指针指向较短链表head时,长度差就消除了
- 如此,只需要将最短链表遍历两次即可找到位置
public ListNode getIntersectionNode(ListNode headA, ListNode headB) {
if (headA == null || headB == null) return null;
ListNode pA = headA, pB = headB;
while (pA != pB) {
pA = pA == null ? headB : pA.next;
pB = pB == null ? headA : pB.next;
}
return pA;
}

最后
以上就是包容鸭子最近收集整理的关于LeetCode - 链表 - 160. 相交链表的全部内容,更多相关LeetCode内容请搜索靠谱客的其他文章。
发表评论 取消回复