题目描述:
输入两个链表,找出它们的第一个公共节点。
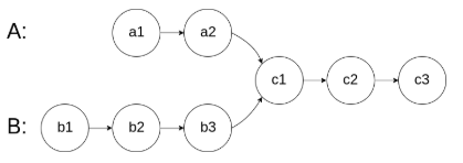
如下面的两个链表:

在节点 c1 开始相交。
示例 1:

输入:intersectVal = 8, listA = [4,1,8,4,5], listB = [5,0,1,8,4,5], skipA = 2, skipB = 3
输出:Reference of the node with value = 8
输入解释:相交节点的值为 8 (注意,如果两个列表相交则不能为 0)。从各自的表头开始算起,链表 A 为 [4,1,8,4,5],链表 B 为 [5,0,1,8,4,5]。在 A 中,相交节点前有 2 个节点;在 B 中,相交节点前有 3 个节点。
示例 2:

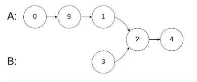
输入:intersectVal = 2, listA = [0,9,1,2,4], listB = [3,2,4], skipA = 3, skipB = 1
输出:Reference of the node with value = 2
输入解释:相交节点的值为 2 (注意,如果两个列表相交则不能为 0)。从各自的表头开始算起,链表 A 为 [0,9,1,2,4],链表 B 为 [3,2,4]。在 A 中,相交节点前有 3 个节点;在 B 中,相交节点前有 1 个节点。
示例 3:

输入:intersectVal = 0, listA = [2,6,4], listB = [1,5], skipA = 3, skipB = 2
输出:null
输入解释:从各自的表头开始算起,链表 A 为 [2,6,4],链表 B 为 [1,5]。由于这两个链表不相交,所以 intersectVal 必须为 0,而 skipA 和 skipB 可以是任意值。
解释:这两个链表不相交,因此返回 null。
注意:
如果两个链表没有交点,返回 null.
在返回结果后,两个链表仍须保持原有的结构。
可假定整个链表结构中没有循环。
程序尽量满足 O(n) 时间复杂度,且仅用 O(1) 内存。
思路:
1.当链表A与链表B存在公共节点时:假设A 公共节点之前有m个节点,B公共节点有n个节点。公共节点有x个节点。因为(m+x+n)=(n+x+m)。所以使用双指针,L1遍历完A后开始遍历B。L2遍历完B后开始遍历A。当两个指针相遇时,便是公共节点所在位置。
2.当链表A与链表B不存在公共节点时:与1 相同,只不过x=0。当二者相等时,均到达指针末尾,所以此时返回NULL。
/**
* Definition for singly-linked list.
* struct ListNode {
* int val;
* ListNode *next;
* ListNode(int x) : val(x), next(NULL) {}
* };
*/
class Solution {
public:
ListNode *getIntersectionNode(ListNode *headA, ListNode *headB) {
if(headA==NULL||headB==NULL)
return NULL;
ListNode *l1=headA,*l2=headB;
while(l1!=l2){
if(l1==NULL)
l1=headB;
else
l1=l1->next;
if(l2==NULL)
l2=headA;
else
l2=l2->next;
}
return l1;
}
};
最后
以上就是苹果火最近收集整理的关于LeetCode:两个链表的第一个公共节点的全部内容,更多相关LeetCode:两个链表内容请搜索靠谱客的其他文章。
发表评论 取消回复