线性回归
线性回归是很常见的一种回归,线性回归可以用来预测或者分类,主要解决线性问题。
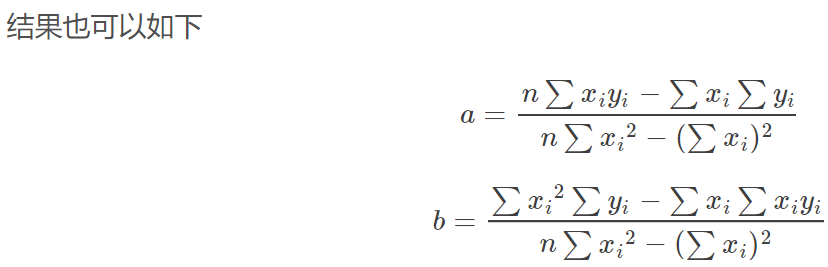
最小二乘法
线性回归过程主要解决的就是如何通过样本来获取最佳的拟合线。最常用的方法便是最小二乘法,它是一种数学优化技术,它通过最小化误差的平方和寻找数据的最佳函数匹配。



转载于:https://www.cnblogs.com/chihaoyuIsnotHere/p/9922368.html
最后
以上就是拼搏招牌最近收集整理的关于【模式识别与机器学习】——最小二乘回归的全部内容,更多相关【模式识别与机器学习】——最小二乘回归内容请搜索靠谱客的其他文章。
本图文内容来源于网友提供,作为学习参考使用,或来自网络收集整理,版权属于原作者所有。
发表评论 取消回复