英文名称:Epoxide-PEG-Epoxide
中文名称:环氧基-聚乙二醇-环氧基
分子量:1k,2k,3.4k,5k,10k,20k(可按需定制)
质量控制:95%+
存储条件:-20°C,避光,避湿
用 途:仅供科研实验使用,不用于诊治
外 观:粘稠液体或者固体粉末,取决于分子量
注意事项:取用一定要干燥,避免频繁的溶解和冻干
溶解性:溶于大部分有机溶剂,如:DCM、DMF、DMSO、THF等等。在水中有很好的溶解性
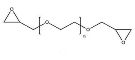
结构式:

环氧-聚乙二醇-环氧(EP-PEG-EP)是一种具有两个环氧基团的线性双功能PEG试剂,通常用于交联或聚乙二醇化含胺或羟基的分子和表面。
供应商:西安凯新生物科技有限公司
相关推荐:
mPEG-Epoxide,MW:1000
mPEG-Epoxide,MW:2000
mPEG-Epoxide,MW:3400
mPEG-Epoxide,MW:5000
mPEG-Epoxide,MW:10000
mPEG-Epoxide,MW:20000
4-Arm PEG-Epoxide,MW:1000
4-Arm PEG-Epoxide,MW:2000
4-Arm PEG-Epoxide,MW:3400
4-Arm PEG-Epoxide,MW:5000
4-Arm PEG-Epoxide,MW:10000
4-Arm PEG-Epoxide,MW:20000
以上图文信息由西安凯新生物科技有限公司提供,如需了解详细或者图谱请联系!!!
最后
以上就是粗心服饰最近收集整理的关于Epoxide-PEG-Epoxide,环氧基-聚乙二醇-环氧基,Epoxide-PEG-EP的全部内容,更多相关Epoxide-PEG-Epoxide内容请搜索靠谱客的其他文章。
发表评论 取消回复