我是靠谱客的博主 落寞枫叶,这篇文章主要介绍时间序列的截尾和拖尾_平稳序列拟合与预测01,现在分享给大家,希望可以做个参考。

建模步骤

be6b2a92296c161641b92d72e1cc63a5.png

样本自相关系数与偏自相关系数特征

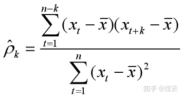
  • 样本相关系数

ae58fa2b501b6aa7ce1b242f9bc35187.png
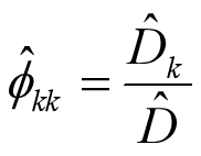
  • 样本偏自相关系数

f29d3b08b58107f049d615c5a13ce740.png

平稳序列拟合模型识别

e327fc841ba9762a95ead4dcc60e9baa.png

模型定阶的困难

因为由于样本的随机性,样本的相关系数不会呈现出理论截尾的完美情况,本应截尾的

最后

以上就是落寞枫叶最近收集整理的关于时间序列的截尾和拖尾_平稳序列拟合与预测01的全部内容,更多相关时间序列内容请搜索靠谱客的其他文章。

本图文内容来源于网友提供,作为学习参考使用,或来自网络收集整理,版权属于原作者所有。
点赞(178)

评论列表共有 0 条评论

立即
投稿
返回
顶部