一、题目描述
给定一个二叉搜索树的根节点 root ,和一个整数 k ,请你设计一个算法查找其中第 k 个最小元素(从 1 开始计数)。
示例 1:

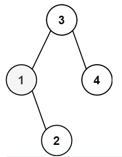
输入:root = [3,1,4,null,2], k = 1
输出:1
示例 2:

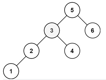
输入:root = [5,3,6,2,4,null,null,1], k = 3
输出:3
二、解题
递归
结点的左子树只包含小于当前结点的数。结点的右子树只包含大于当前结点的数。使用递归方法,先判断左子树的数量,看是否等于k-1,若等于k-1,则说明当前节点正好是需要返回的节点,否则在右子树中查找,k更新为k-leftcnt-1。
class Solution {
int res = 0;
int cnt = 0;
public int kthSmallest(TreeNode root, int k) {
//这题的一个重点是此树为二叉搜索树 结点的左子树只包含小于当前结点的数。结点的右子树只包含大于当前结点的数。
//使用递归方法 先判断左子树的数量 看是否等于k-1,若等于k-1,则说明当前节点正好是需要返回的节点,否则在右子树中查找
int leftcnt = count(root.left);
if(leftcnt == k-1){
return root.val;
}
//节点在左子树
if(leftcnt > k-1){
return kthSmallest(root.left,k);
}
//否则在右子树
return kthSmallest(root.right,k-leftcnt-1);
}
private int count(TreeNode node) {
if (node == null) return 0;
return 1 + count(node.left) + count(node.right);
}
}
中序遍历
由于是二叉搜索树,所以使用中序遍历,则返回的数直接是升序的,直接遍历到第k个值就是当前值。
class Solution {
int res = 0;
int cnt = 0;
public int kthSmallest(TreeNode root, int k) {
if(root == null){
return 0;
}
inoeder(root,k);
return res;
}
//中序遍历
public void inoeder(TreeNode root,int k){
if(root == null){
return ;
}
inoeder(root.left,k);
cnt++;
if(cnt==k){
res = root.val;
return ;
}
inoeder(root.right,k);
}
}
最后
以上就是眯眯眼西装最近收集整理的关于230. 二叉搜索树中第K小的元素的全部内容,更多相关230.内容请搜索靠谱客的其他文章。
本图文内容来源于网友提供,作为学习参考使用,或来自网络收集整理,版权属于原作者所有。
发表评论 取消回复