我是靠谱客的博主 高贵飞鸟,这篇文章主要介绍二叉树的三种遍历(递归算法)C++1、先序遍历(NLR):过程:①先遍历根结点②遍历左子树③遍历右子树。得到的结果序列是:ABDGHECF2、中序遍历(LNR):①先左子树②访问根结点③访问右子树。得到的结果序列是:GDHBEACF3、后序遍历(RLN):①先左子树②访问右子树③访问根结点。得到的结果序列是:GHDEBFCA 总结:函数递归时,每次都是一个新的二叉树,执行完后,退出最内层、最内层-1层、最内层-2层....直到第一个根结点。,现在分享给大家,希望可以做个参考。
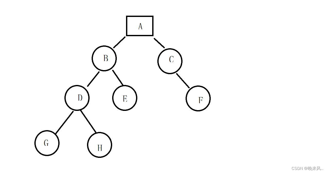
1、先序遍历(NLR):过程:①先遍历根结点②遍历左子树③遍历右子树。得到的结果序列是:ABDGHECF
算法如下:其中每一次递归都代表对一个新的二叉树进行运算,最先输出的是根结点,然后是根的左结点,又将左节点看成一个新的根结点再进行递归。
void PreOrder(BTree & bt)
{
PreOrder(bt.r);
}
void PreOrder1(BTree * b)
{
if(b!=NULL)
{
cout<<b->data; //访问根结点
PreOrder1(b->lchild); //访问左子树
PreOrder1(b->rchild); //访问右子树
}
}
2、中序遍历(LNR):①先左子树②访问根结点③访问右子树。得到的结果序列是:GDHBEACF
算法如下:中序遍历的核心是先输出以根为最后递归的地址为根输出其左子树,然后是根,然后是右子树
void InOrder(BTree & bt)
{
InOrder(bt.r);
}
void InOrder1(BTree * b)
{
if(b!=NULL)
{
InOrder1(b->lchild); //访问左子树
cout<<b->data; //访问根结点
InOrder1(b->rchild); //访问右子树
}
}

3、后序遍历(RLN):①先左子树②访问右子树③访问根结点。得到的结果序列是:GHDEBFCA
算法如下:后序遍历是先访问左子树,然后到头,访问头的左子树、右子树、根结点。然后退出最内层递归,执行最内层-1的递归访问右子树......。
void PostOrder(BTree & bt)
{
PostOrder(bt.r);
}
void PostOrder1(BTree * b)
{
if(b!=NULL)
{
PostOrder1(b->lchild); //访问左子树
PostOrder1(b->rchild); //访问右子树
cout<<b->data; //访问根结点
}
}

总结:函数递归时,每次都是一个新的二叉树,执行完后,退出最内层、最内层-1层、最内层-2层....直到第一个根结点。
最后
以上就是高贵飞鸟最近收集整理的关于二叉树的三种遍历(递归算法)C++1、先序遍历(NLR):过程:①先遍历根结点②遍历左子树③遍历右子树。得到的结果序列是:ABDGHECF2、中序遍历(LNR):①先左子树②访问根结点③访问右子树。得到的结果序列是:GDHBEACF3、后序遍历(RLN):①先左子树②访问右子树③访问根结点。得到的结果序列是:GHDEBFCA 总结:函数递归时,每次都是一个新的二叉树,执行完后,退出最内层、最内层-1层、最内层-2层....直到第一个根结点。的全部内容,更多相关二叉树内容请搜索靠谱客的其他文章。
本图文内容来源于网友提供,作为学习参考使用,或来自网络收集整理,版权属于原作者所有。


发表评论 取消回复