幂函数的扩展:
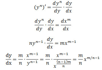
f(x) = xn的导数:f’(x) = nxn-1,n是整数,该公式对f(x) = xm/n, m,n 是整数同样适用。
![]()
两端同时求导,由于y是x的函数,根据链式求导法则:

隐函数的定义:
本质上F(x,y)=0函数y=f(x)是一样的,但是在数学理论中,总有一些函数,人们已经证明它们的函数关系,但是还是无法表示成显函数的形式,就叫做隐函数。隐函数一般是一个含x,y的方程如e^y+x^2+x=0这种形式,由于形式复杂,y不容易变形为用含x的式子表示&#
最后
以上就是畅快自行车最近收集整理的关于MIT单变量微积分笔记2——导数2的全部内容,更多相关MIT单变量微积分笔记2——导数2内容请搜索靠谱客的其他文章。
本图文内容来源于网友提供,作为学习参考使用,或来自网络收集整理,版权属于原作者所有。
发表评论 取消回复