1、基变换
1)坐标系与基向量
坐标系:发生在向量与一组数之间的任意转化。
基向量:每个坐标系都有一组基向量。如二维时的i帽和j帽。

2)基变换
本节想主要介绍的是基变换的概念,假设我们的朋友詹妮弗使用另一组坐标系,即有另一组不同的基向量b1和b2。

那原先在我们的坐标系中[3,2]的向量,使用詹妮弗的坐标系的话,就不再是[3,2]了,而是b1和b2的缩放倍数,即[5/3,1/3]:

同一个向量,使用不同的坐标系,得到的坐标是完全不同的,那么如何在不同的坐标系中进行坐标转换呢?在詹妮佛的坐标系中,她的b1和b2是[1,0]和[0,1]:

但在我们的坐标系中,b1和b2分别是[2,1]和[-1,1]:

假设在詹妮佛的坐标系中,有一个坐标是[-1,2]的向量,那么在我们的空间中,这个向量的坐标是什么呢?

这个向量的坐标是-1 * b1 + 2 * b2,而b1和b2在我们的坐标系中的坐标分别是,[2,1]和[-1,1],因此结果是[-4,1]
上面的过程用矩阵相乘来表示,即:

前面介绍过,一个矩阵其实代表一个线性变换,矩阵[2,-1;1,1]的意思可以理解为,将我们空间中的[1,0]、[0,1],转换到詹妮佛空间中的[1,0]、[0,1],而詹妮佛空间中的[1,0]、[0,1],在我们空间看的话,坐标分别是[2,1]和[-1,1]。
因此将詹妮佛坐标系下一个向量的坐标转换成我们坐标系下的坐标,只需要左乘上这个矩阵即可。

相反的,如果把我们坐标系下的一个向量的坐标,转换成詹妮佛坐标系下对应的坐标,应该是一个相反的过程,因此使用对应矩阵的逆:

因此,想要知道我们空间中[3,2]如何转换在詹妮佛坐标系下的坐标,需要乘上相应的逆矩阵:


最后再总结一下上面的过程,现在有两个坐标系,我们的坐标系和詹妮佛的坐标系,两个坐标系各有一组基向量,从各自的角度看,基向量的坐标都是[1,0]和[0,1],但是在我们的坐标系中,詹妮佛的基向量对应的坐标分别是[2,1]和[-1,1],那么将用詹妮佛的坐标系描述的向量转换为用我们的坐标系描述的相同向量,只需要左乘用我们的坐标系来描述的詹妮佛的基向量矩阵即可:

逆矩阵则相反:

更进一步,考虑一个旋转90度的线性变换,我们的基向量[1,0]和[0,1],变换后的坐标分别是[0,1]和[-1,0]:

那么在詹妮佛空间中如何表示同样的变换呢?是左乘下面的矩阵么?

答案是否定的,上面的矩阵是在追踪我们所选的基向量的变化,也就是说,把我们的坐标系旋转90度得到了另一个坐标系b,坐标系b下的基向量用我们的坐标系表示的话是[0,1]和[-1,0]。
那在詹妮佛坐标系下,一个向量旋转90度后的坐标是什么呢?比如詹妮佛坐标系下的坐标为[-1,2]的向量,首先需要转换到我们的空间中坐标,然后在进行旋转90度的变换,最后在变回到詹妮佛空间中的坐标:

三个矩阵相乘的结果,就是用詹妮佛语言描述的变换矩阵。
3)总结
表达式

暗示着一种数学上的转移作用中间的M代表一种你所见的转换(例子中的90°旋转变换两侧的矩阵 )A代表着转移作用(不同坐标系间的基向量转换),即就是视角上的转换矩阵乘积仍然表示着同一个变换,只不过从其他人的角度来看这给了很多域变换的应用一个直观的理解,把这简单的几行记录清晰.
2、特征向量与特征值
1)什么是特征值和特征向量?
首先,我们假设一个坐标变换:[[3,1],[0,2]],在变换的过程中,空间内大部分的向量都离开了它所张成的空间(即这个向量原点到终点构成的直线) ,还有一部分向量留在了它所张成的空间,矩阵对它仅仅是拉伸或者压缩而已,如同一个标量。如下图:

如上图,是给出例子中,x轴所有向量被伸长为原来的3倍,一个明显留在张成空间内的例子。另一个比较隐藏的,是(−1,1)这个向量,其中的任意一个向量被伸长为原来的2倍。
1、变换中被留在张成空间内的向量(在同一条直线上),就是特征向量
2、每个向量被拉伸或抽缩的比例因子,就是特征值
3、正负表示变换的过程中是否切翻转了方向
2)特征值和特征向量的计算
一个矩阵A的特征向量,在经过这个矩阵所代表的线性变换之后,没有偏离其所张成的直线,而只是发生了伸缩或方向改变(数乘),所以首先可以写出下面的式子:

接下来要求解特征向量和特征值,首先需要做下变换,因为等式的左边代表的是矩阵和向量相乘,右边代表的是一个数和向量相乘,所以先把右边变为矩阵和向量相乘的形式,即让λ与单位矩阵相乘:

然后就可以都移到等号左边,提出公因子来:

接下来的目标就是求解向量v,使得v与(A-λI)相乘的结果为零向量。如果v本身是零向量的话,那等式恒成立。但我们真正想找的是非零的特征向量。
回顾本系列视频第五讲的内容,当一个二维矩阵的行列式为0时,它能代表的线性变换能将空间压缩为一条直线或者是零点。因此,想让v经过(A-λI)变换后的结果为零向量,(A-λI)的行列式值必须为0,所以整个过程如下:

以最开头提到的矩阵作为例子,很容易求解出特征值是2或者3:



求解出特征值了,如何求解对应的特征向量呢?以特征值2为例子,求解如下的方程组即可:

3)特征向量的特殊情况
1、旋转变换
旋转变换空间中所有向量都离开原直线,所以没有特征向量。解出特征值能发现答案是 ±i,即特征值出现复数的情况一般对应于变换中的某种旋转。
2、剪切变换
x轴不变,只有一个特征值,为1,( (λ−1)**2=0 ).
3、伸缩变换
特征值只有一个,但是是空间中所有的向量都是特征向量 。
4)特征基
对角矩阵
只有对角线非零的矩阵。解读它的方法是:所有的基向量都是特征向量。因为之前提到过,矩阵的第一列是
ı ,第二列是 ȷ,往后同理。这样就能发现,如果一列只有对应的位置非零,那么这个坐标轴本身就就是特征向量。

一组基向量(同样是特征向量)构成的集合被称为一组:特征基。对角矩阵有一个好处是计算方便,多次矩阵乘法非常容易。
这时我们就希望利用对角矩阵(基向量为特征向量)的便于计算的特性,利用上一节提到的基向量变换的方法,把特征向量作为基,对每一个矩阵进行变换后再进行计算,最后再左乘变换矩阵的逆求回原矩阵得到结果,如下图所示:

【注】得到的对角阵相当于在以特征向量为基的坐标系视角下的变换矩阵。
但需要说明的是,并不是所有的矩阵都能对角化,比如Shear变换,它的特征向量不够多,不足以张成一个空间。
3、抽象向量空间
什么是向量?以二维向量为例,可以认为他是一个平面内的一个箭头,然后在坐标系下给它赋予了一组坐标,也可以理解为是一组有序的实数对,我们只是将他形象理解为平面内的一个箭头。
但本节想讨论一下既不是箭头,也不是一组数字,但具有向量性质的东西,如函数。函数其实是另一种意义上的向量,如满足向量加法:

同样满足数乘性质:

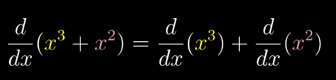
再来说一下函数的线性变换,这个变换接受一个函数,然后把它变成另一个函数,如导数:

一个函数变换是线性的,需要满足什么条件呢?先回顾一下线性的严格定义,它需要满足如下的两个条件:

求导是线性运算,因为它也满足可加性和成比例:


接下来,我们尝试用矩阵来描述求导,先把眼光限制在多项式空间中,整个空间中可以包含任意高次的多项式:

首先给这个空间赋予坐标的含义,这需要选取一个基,这里更准确的说法是选择一组基函数,一个很自然的想法是(b0(x)=1,b1(x) = x,b2(x) = x2…),这组基函数的包含无限多个基函数,因为多项式的次数可以是无限的:

这样,一个多项式函数可以表示成一组坐标,例如:

在这个坐标系中,求导是用一个无限阶矩阵描述的,主对角线上方的次对角线有值,而其他地方为0,举个例子:

这个求导矩阵是怎么得到的呢?很简单,对每个基函数进行求导,然后放在对应的列上即可,比如b2:


所以,乍一看矩阵向量乘法和求导是毫不相关的,但其实都是一种线性变换,但是有时候名字可能不太一样:

如上表一样,相同的概念只是在不同的领域有着不同的名称罢了。
有很多类似向量的不同事物,只要你处理的对象具有合理的数乘和相加的概念,线性代数中所有关于向量,线性变换和其他的概念都应该使用与它。作为数学家,你可能希望你发现的规律不只对一个特殊情况适用,对其他类似向量的事物都有普适性。
这些类似向量的事物,比如箭头、一组数、函数等,他们构成的集合被称为:向量空间
向量加法和向量数乘的规则 - 被称为公理,如下图:

最后
以上就是彩色白开水最近收集整理的关于线性代数的本质(四)的全部内容,更多相关线性代数内容请搜索靠谱客的其他文章。
发表评论 取消回复