赤道圆柱投影(Equatorial cylindrical projection,ECP)和ERP类似也使用圆柱体投影,但是ECP将球体分为三个部分进行投影:赤道、北极和南极。

图1 ECP投影和frame packing
如图1(a)所示,球体分为三个部分后,赤道部分的纬度范围为-41.81度到41.81度,占了整个球面积的2/3,两极各占1/6。图1(b)是两极投影到正方形平面的情况。图1(c)是ECP的frame packing,两极分别是面0和1,面2~5是赤道投影后的面。
投影变换
2D-3D变换,假设所有面的尺寸都是AxA,则2D平面上的点(m,n)转换到3D球面的过程如下:
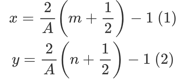
1、首先根据(m,n)计算(x,y):

2、根据padding的大小计算缩放因子:

其中padmargin是padding的尺寸,一般取4。
表1 2D-3D(x,y)缩放

然后根据表1对(x,y)进行缩放。
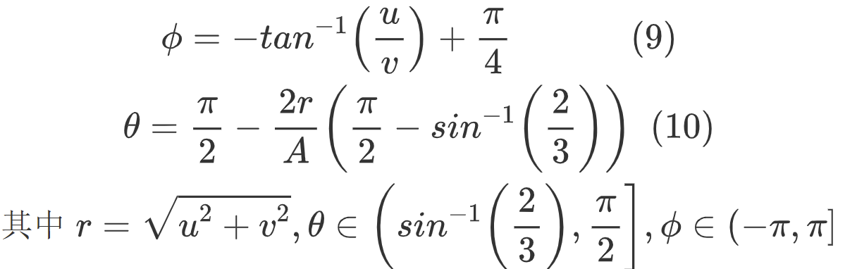
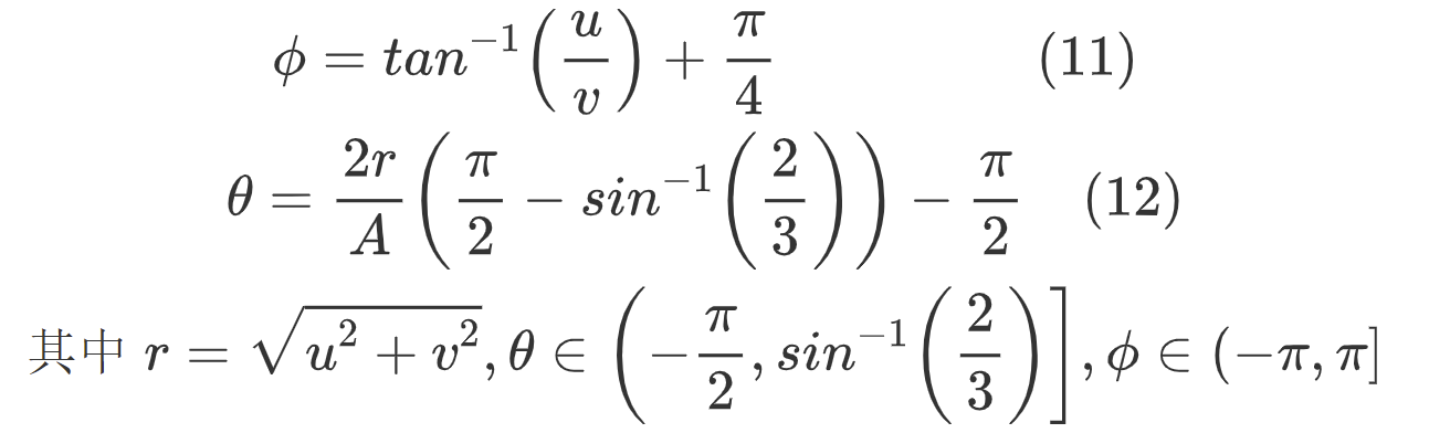
如果f=0或1,还需要根据公式(5)进一步变换,

3、对于f=0或1,

4、f=0时最终的3D坐标为,

5、f=1时最终的3D坐标为,

6、f=2...5时最终的3D坐标为,
根据表1将(u,v)设为(x',y'),

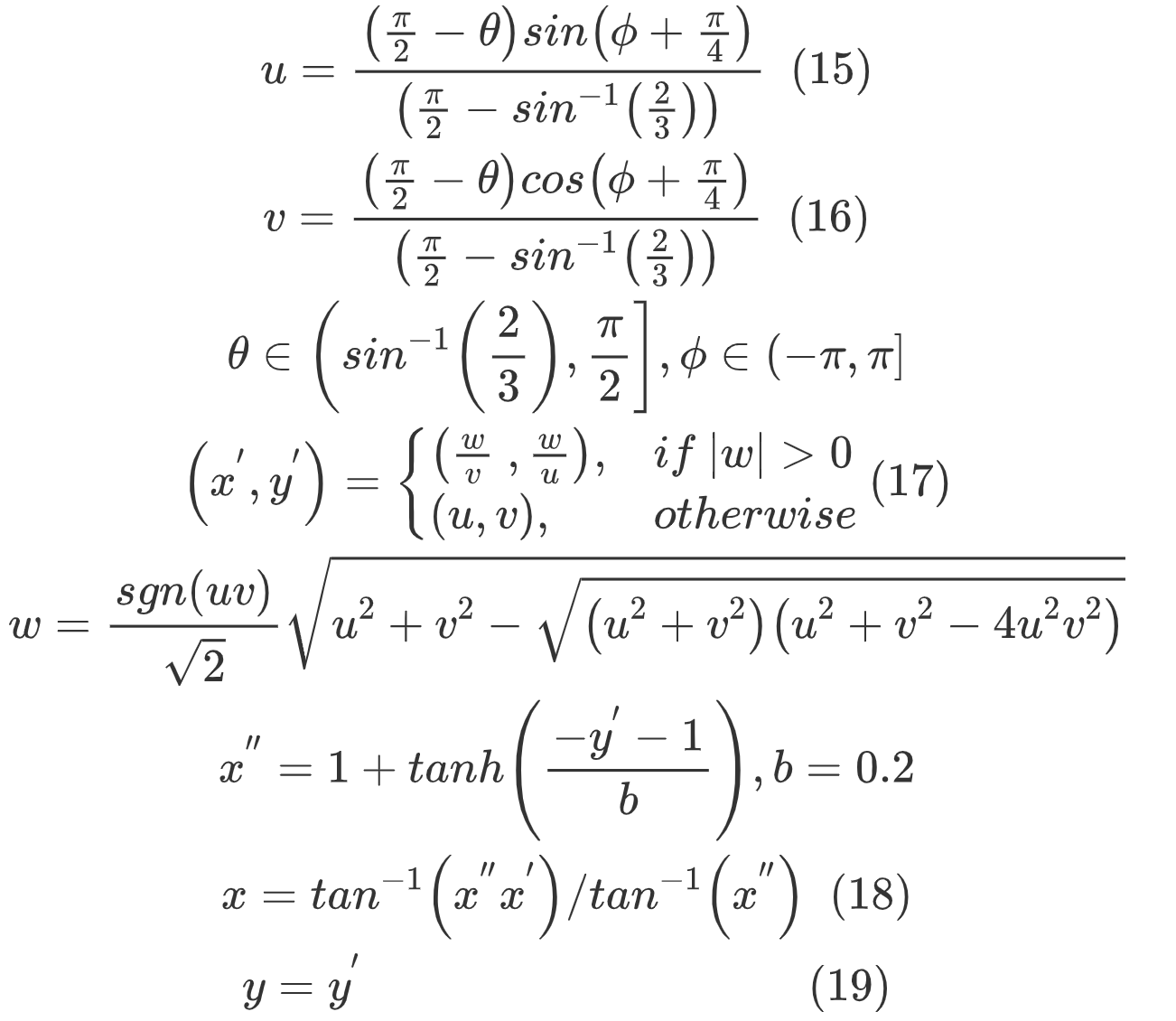
3D-2D变换,给定球面的一个点求映射到平面上的坐标(m,n),
1、对于f=0,根据式(18)(19)计算转换后坐标,

2、对于f=1,根据式(23)(24)计算转换后坐标,

3、对于f=2...5,

根据表2进行缩放,
表2 3D-2D(x,y)缩放

最终(m,n)根据式(27)(28)计算得到,

感兴趣的请关注微信公众号Video Coding

最后
以上就是合适外套最近收集整理的关于360视频:赤道圆柱投影ECP的全部内容,更多相关360视频内容请搜索靠谱客的其他文章。
发表评论 取消回复