OpenGL研究2.0 圆计算方法
DionysosLai2014-06-18
在游戏中,经常有些地方涉及到一些圆的轨迹计算,比方一些转轴类的游戏,人物一般在角色转轴上面运动。这时,我们就要时刻计算角色的位置。分析一下,圆位置的一般算法。
首先,如下图的一个圆:

图1
根据对称性原理,我们只需要计算黑色区域的点集合即可。同时,由于黑色区域的圆的切线斜率明显在-1到0,这点就可以和前面一节线段的计算方法相结合了。
圆的点计算方法:
1. 直接计算方法
1). 离散点计算法
利用隐函数公式方法:
;
2). 三角函数方法
这两个方法,明显都涉及到了三角函数、开根号等一些比较复杂的计算方法,运算量比较大。
2. 中点运算方法
思想:圆的正负性划分:,将点(x,y)带入F(x,y)中,则:
F(x,y)>0---->圆外面的点,F(x,y)=0---->圆上的点,F(x,y)<0---->圆里面的点。
运算:
在图1中,黑色区域的x值变化率大于y,切线斜率在-1到0之间,取x递增1。则
和
的关系如下图所示:

对于点
,要么在点E或者在点SE。
基本原理:
对于点
的下一个点
间的线段中点M=(xi+1,yi-0.5),将点M带入F(x,y)方程中,如果F(M)<=0, 说明点M在圆内,则点
取点E,反之取点SE。
数学计算:
假设di=F(M),那么下一个点
的d值如下所示:
1) 如果di<=0,则
取E点,即
,因此

2) 如果di>0,则
取SE点,即
,因此

3) 那么对于d0,值为多少呢?有计算式可知:

4) 综上,我们有如下关系:

代码如下:
void midCircle(int x0, int y0, int R)
{
/*只画1/8圆*/
int d0, d1, d2,x,y,xEnd;
d0 = 1.25-R;
x = x0;
y = y0-R;
xEnd = x0+sqrt(2)/2.f*R;
SetPixel(x,y);
while(x<xEnd)
{
if(d0<=0)
{
d0 = d0+x+x+3;
}
else
{
y = y -1;
d0 = d0+x+x-y-y+5;
}
x = x+1;
}
}
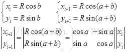
3. 正内多边形迫近法
基本原理:通过内接多边形不断的逼近一个圆:

计算公式:

一般,只要你内接多边形边数越大,就越接近圆了。曾经试过100正多边形,基本符合圆的需求了。
最后
以上就是淡然背包最近收集整理的关于OpenGL研究2.0 圆计算方法的全部内容,更多相关OpenGL研究2.0内容请搜索靠谱客的其他文章。
发表评论 取消回复