2016级 众智科学与网络化产业 期末考试试题 回忆版
十题,每题十分
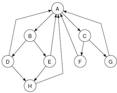
- 利用下图网络关系,举例说明社会中的同质现象

二.假设有五个人A,B,C,D,E,A和B关系很好,B和C关系很差,C和D关系很好,D和E关系也很好。你能判断A和E 的关系更可能是好还是差吗?(运用平衡定理)
三.PagerRank,计算下列网页排名,初始值为1/8.(迭代两次)

四.按照匹配市场机制,从 右边的5*5矩阵中,选出 加和最大的5个不同行不 同列的元素(给出过程 )
64123
45216
53627
84168
67294
五.广告位。假设有广告位w.x.y.z,点击率分别为8,5,3,1;有广告主a,b,c,d,点击估值分别为10,7,6,3.计算GSP和VCG价格各是多少。
六.设:你有一个家族企业,到了一个发展的瓶颈,自己 做下去需要很大的资源和一批新的人才,这对你来说 很难做到。于是有两种可能,一是维持现状,那么它 对你来说的价值有1000万。另一种是卖出去。现在 有一家实力强的公司表示了兴趣,认为你的业务与他 们是很好的互补。而你了解到买过去后对他们的价值 是8000万。
问:什么样的成交价对你们双方是合理的?
七.说明什么是阿罗不可能定理。
八.你和朋友合租房子,要洗碗。写出收益矩阵,求出此博弈的解。

九.分析下列网络,写出从节点1开始的传播过程。

十,简要说明为什么次价密封拍卖鼓励人们说真话。
最后
以上就是细心唇膏最近收集整理的关于山东大学2018众智科学期末考的全部内容,更多相关山东大学2018众智科学期末考内容请搜索靠谱客的其他文章。
本图文内容来源于网友提供,作为学习参考使用,或来自网络收集整理,版权属于原作者所有。
发表评论 取消回复