一、无迹卡尔曼滤波
无迹卡尔曼滤波不同于扩展卡尔曼滤波,它是概率密度分布的近似,由于没有将高阶项忽略,所以在求解非线性时精度较高。
UT变换的核心思想:近似一种概率分布比近似任意一个非线性函数或非线性变换要容易。
原理:
假设n维随机向量x:N(x均值,Px),x通过非线性函数y=f(x)变换后得到n维的随机变量y。通过UT变换可以比较高的精度和较低的计算复杂度求得y的均值和方差Px。
UT的具体过程如下:
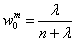
(1)计算2n+1个Sigma点及其权值:

![]()
根号下为矩阵平方根的第i列



最后
以上就是高高耳机最近收集整理的关于【路径规划】基于UKF和MPC实现无人机编队路径避碰matlab源码的全部内容,更多相关【路径规划】基于UKF和MPC实现无人机编队路径避碰matlab源码内容请搜索靠谱客的其他文章。
本图文内容来源于网友提供,作为学习参考使用,或来自网络收集整理,版权属于原作者所有。
发表评论 取消回复