5.7根据式(5.18)和(5.19),试构造一个能解决异或问题的单层RBF神经网络。
RBF(Radial Basis Function,径向基函数)网络,是一种单隐层前馈神经网络,它使用径向基函数作为隐层神经元激活函数,而输出层则是对隐层神经元输出的线性组合。
RBF隐层相当于把输入映射到一个更高维空间,使得不可分的数据线性可分。
对于异或问题,构造数据:
| X1 | X2 | X3 |
| 0 | 0 | 0 |
| 0 | 1 | 1 |
| 1 | 0 | 1 |
| 1 | 1 | 0 |
设计RBF网:
(1)输入层:由于有2个输入,所以输入层2个神经元
(2)隐层:隐层神经元越多拟合的越好,这里我设置十个隐层神经元。
(3)输出层:1个神经元。
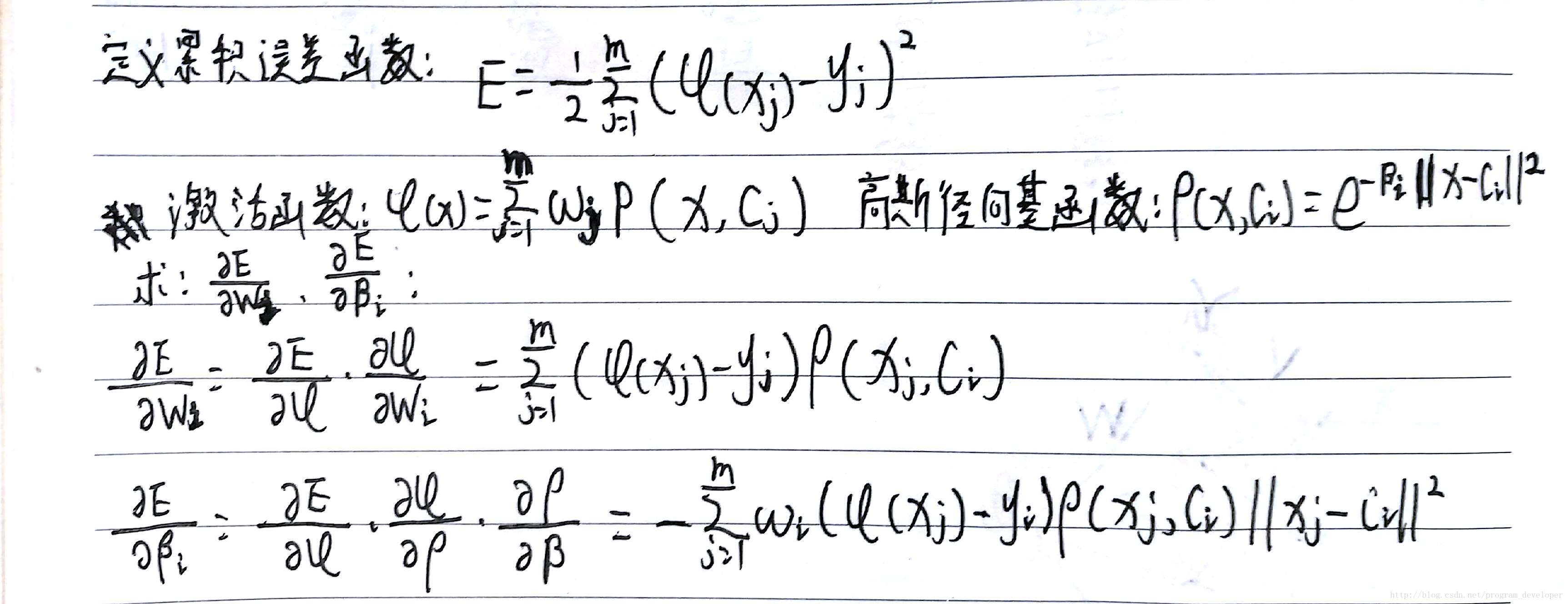
该网络参数有:
(1)Wi:隐层第i个神经元与输出神经元的权值。
(2)Ci:隐层第i个神经元的中心
(3)
βi:样本与第i个神经元的中心的距离的缩放系数
两步训练RBF网络:
(1)确定Ci常用的方法有:随机采样、聚类等。、
(2)利用ABP算法来确定参数Wi和βi。

在代码中令学习率:
η=0.5

kn是指:迭代了407次。
E是指:累积误差。
py是指:真是的预测输出,即输出层的输出。
RBF网络的MATLAB代码为:
clear
x=[0 0;0 1; 1 0;1 1];
y=[0;1;1;0];
hideNum=10; %隐层神经元数目,要求必须大于输入层个数
rho=rand(4,hideNum); %径向基函数的值
py=rand(4,1); %输出值
w=rand(1,hideNum); %隐层第i个神经元与输出神经元的权值
beta=rand(1,hideNum); %样本与第i个神经元的中心的距离的缩放系数
eta=0.5; %学习率
c=rand(hideNum,2); %隐层第i个神经元的中心
kn=0; %累计迭代的次数
sn=0; %同样的累积误差值累积次数
previous_E=0; %前一次迭代的累积误差
while(1)
kn=kn+1;
E=0;
%计算每个样本的径向基函数值
for i=1:4
for j=1:hideNum
p(i,j)=exp(-beta(j)*(x(i,:)-c(j,:))*(x(i,:)-c(j,:))');
end
py(i)=w*p(i,:)';
end
%计算累积误差
for i=1:4
E=E+((py(i)-y(i))^2); %计算均方误差
end
E=E/2; %累积误差
%更新w、beta
delta_w=zeros(1,hideNum);
delta_beta=zeros(1,hideNum);
for i=1:4
for j=1:hideNum
delta_w(j)=delta_w(j)+(py(i)-y(i))*p(i,j);
delta_beta(j)= delta_beta(j)-(py(i)-y(i))*w(j)*(x(i,:)-c(j,:))*(x(i,:)-c(j,:))'*p(i,j);
end
end
%更新w、beta
w=w-eta*delta_w/4;
beta=beta-eta*delta_beta/4;
%迭代终止的条件
if(abs(previous_E-E)<0.0001)
sn=sn+1;
if(sn==50)
break;
end
else
previous_E=E;
sn=0;
end
end
实验的代码下载地址:https://github.com/Microstrong0305/Machine-Learning-ZhouZhiHua
最后
以上就是贪玩水壶最近收集整理的关于机器学习+周志华+第五章习题+解决异或问题的单层RBF神经网络的全部内容,更多相关机器学习+周志华+第五章习题+解决异或问题内容请搜索靠谱客的其他文章。
本图文内容来源于网友提供,作为学习参考使用,或来自网络收集整理,版权属于原作者所有。
发表评论 取消回复