概要
贝叶斯定理描述的是条件概率,不同于全局概率,它表示当某一个事件(B)发生时,另一个事件(A)发生的概率。从机器学习的角度,从全局无法知道事件(A)发生的概率,但是如果能确认一些事情发生,如事件(B),那么就可以更新事件(A)发生的概率,从而逼近真实值。
基础知识
概率 -- 一件事发生的概率等于该事件发生的数目除以所有事件发生的数目,P(A);
条件概率 -- 一件事在特定条件下发生的概率,P(A|B)。如“假如我知道一个人是女士,那么她留长发的概率是多少”。这里B表示女士,A表示长头发;另外P(A|B)!= P(B|A),比如,P(cute | puppy) 是不一样的 P(puppy | cute)。如果我抱着是小狗,那么它可爱的概率就很高,如果我抱着的东西很可爱,那么它是小狗的概率就可能很低,因为它可能是小猫、兔子、刺猬或者是一个小宝宝;
联合概率 – 两件事同时发生的概率,P(A and B) = P(A) * P(B|A)。注意P(A and B) != P(A) * P(B)。原因是前者考虑了两件事的相关性,而后者没有。举个例子,如果A和B发生的概率都是50%,但两者是强相关的,A出现时B必然出现,那么P(A and B)=50%;反之如果A出现时B必然不会出现,那么P(A and B)=0;
边际概率 -- 即相对多变量的联合分布而言,当其他变量取一切可能,某变量取值的概率。边际概率是一个事件的概率,与另一个变量的结果无关。 我们可以从后文的公式中再体会边际概率的含义。
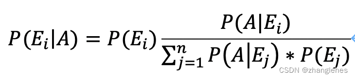
公式

P(A|B) – 条件概率,同时也是后验概率,它表示当事件B发生后,对于发生事件A的概率修正;
P(A) – 初始概率,同时也是前验概率,它可能是一个准确值,也可能表示我们对事件A发生的估计概率;
P(B|A) – 它也是个条件概率,在贝叶斯应用中,它是一个容易求得的值;
P(B) – 边缘概率
公式变换
贝叶斯公式有很多表现形式,适用于不同的应用场景。在这里我们对边际概率进行细化(根据它的定义)

贝叶斯公式的应用场景
- Understanding probability problems (including those in medical research)
- Statistical modelling and inference
- Machine learning algorithms (such as Naive Bayes, Expectation Maximisation)
- Quantitative modelling and forecasting
示例
示例1
第一个盒子有4个红球、2个绿球,第二个盒子有2个红球、4个绿球。假设有1/3的概率从第一个盒子内取球,有2/3的概率从第二个盒子内取球。随机从任意一个盒子内取任意一个球:
- 如果取到的球是红色的,那么有多大概率来至第一个盒子?
- 如果取到的球是红色的,那么有多大概率来至第二个盒子?
- 对比一下前两问的答案,并解释原因
解答1: 假设从第一个盒子取球的事件为E1,则P(E1) = 1/3,假设从第二个盒子取球的事件为E2,则P(E2) = 1/3。从第一个盒子取到红球的概率P(R|E1)=2/3,从第二个盒子取到红球的概率P(R|E2)=1/3。问题是求解P(E1|R),按照公式

解答2:

解答3:两问的答案相同,原因是贝叶斯公式同时考虑了选择某个盒子的概率,和从特定盒子中选择红球的概率。
示例2
有一种疾病,1%的人群会感染上。医疗上检测该疾病,在得病的人群中有95%的几率能检测出,同时也有%2的几率在未感染的人群中检测出。如果一个人被检测出得该疾病,那么他真实获病得几率是多少?
解答:假设真实得病的事件为D,那么P(D)=1%,P(~D)=99%。检测出疾病的事件为E,那么P(E|D)=95%,P(E|~D)=2%。问题是P(D|E)
由此可见,即使被检测出疾病,真实获病的概率其实并不高。原因是前验概率非常低,同时检测误差却相对较高。
示例3
市场上有3个工厂(A,B,C)生产灯泡,它们的市场占有率分别是20%,50%和30%。其对应的缺陷产品率分别是2%,1%,3%。如果有一个缺陷灯泡被检测到了,那么它来自于B工厂的概率是多少?
解答:首先P(A)=20%, P(B)=50%, P(C)=30%,另一个条件,假设缺陷产品的事件为D,则P(D|A)=2%, P(D|B)=1%, P(D|C)=3%, 问题是P(B|D)

由此可见,虽然B工厂的市场占有率较高,但是因为其产品缺陷率较低,导致问题产品来自于它生产的灯泡的概率也不高。
示例4
有一套雷达系统,当飞机在它的监控范围时,它有98%的概率能监测出来。但是当无飞机时,仍有5%的概率能监测出来。在任意时间,该空域出现飞机的概率是7%。
- 当雷达监测出飞机时,有多大概率无飞机存在?
- 当雷达监测出飞机时,有多大概率有飞机存在?
- 当雷达未监测出飞机时,有多大概率有飞机存在?
- 当雷达未监测出飞机时,有多大概率无飞机存在?
解答:飞机出现在该空域的时间为M,则P(M)=7%,P(~M)=93%。另一个条件,监测出飞机的事件为D,P(D|M)=98,P(D|~M)=5%。
- P(~M|D)=(0.93*0.05)/(0.93*0.05+0.98*0.07) = 0.404
- P(M|D)=(0.07*0.98)/(0.93*0.05+0.98*0.07) = 0.596
- 这里需要做一个转换,P(~D|M) = 1-P(D|M)和P(~D|~M) = 1-P(D|~M)。则P(M|~D)=0.0016
- P(~M|~D)=0.9984
参考文献
- 贝叶斯推理原理 - 知乎
- Bayes' Rule – Explained For Beginners
- Bayes Theorem Explained With Example - Complete Guide | upGrad blog
- https://www.analyzemath.com/probabilities/bayes-theorem.html
最后
以上就是诚心音响最近收集整理的关于贝叶斯基础概要基础知识公式公式变换贝叶斯公式的应用场景示例参考文献的全部内容,更多相关贝叶斯基础概要基础知识公式公式变换贝叶斯公式内容请搜索靠谱客的其他文章。
发表评论 取消回复