回归问题:目标值是连续型值的问题。
线性回归:通过一个或者多个自变量与因变量之间之间进行建模的回归分析,其中特点为一个或多个称为回归系数的模型参数的线性组合。
from sklearn import linear_model
一元线性回归:涉及到的变量只有一个
多元线性回归:涉及到的变量两个或两个以上
通用公式:

其中,w为权重,x为特征,w0为偏移量。
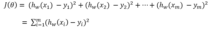
预测结果与真实值会有误差,使用损失函数定义:

其中,yi为第i个训练样本的真实值,hw(xi)为第i个训练样本特征值组合预测函数,即误差的平方和,又称为最小二乘法。
1. 正规方程
from sklearn.linear_model import LinearRegression
![]()
其中,X为特征值矩阵,y为目标值矩阵。
优点:可以经过一次运算得出,不需要多次迭代;对于数量较小的数据预测精确度较高。
缺点:当特征过于复杂,求解速度太慢;对于复杂的算法,不能使用正规方程求解;只适用于线性模型。
例1:波士顿房价案例
需求:根据给出的信息,使用正规方程预测波士顿房价。
from sklearn.datasets import load_boston
from sklearn.linear_model import LinearRegression
from sklearn.model_selection import train_test_split
from sklearn.preprocessing import StandardScaler
# 获取数据
lb = load_boston()
# 分割数据集到训练集和测试集
x_train, x_test, y_train, y_test = train_test_split(lb.data, lb.target, test_size=0.25)
# 特征值和目标值是都必须进行标准化处理, 实例化两个标准化API
std_x = StandardScaler()
x_train = std_x.fit_transform(x_train)
x_test = std_x.transform(x_test)
# 目标值
std_y = StandardScaler()
y_train = std_y.fit_transform(y_train.reshape(-1, 1))
y_test = std_y.transform(y_test.reshape(-1, 1))
# estimator预测
# 正规方程求解方式预测结果
lr = LinearRegression()
lr.fit(x_train, y_train)
print("回归系数:", lr.coef_)
y_lr_predict = std_y.inverse_transform(lr.predict(x_test))
print("正规方程测试集里面每个房子的预测价格:", y_lr_predict)
输出:
回归系数: [[-0.08438297 0.12662503 0.00617453 0.08445922 -0.17802891 0.31122427
-0.02547949 -0.33519079 0.29937768 -0.25666255 -0.20903889 0.1118847
-0.38413983]]
正规方程测试集里面每个房子的预测价格: [[29.23338548]
[ 8.8447294 ]
[16.88213279]
[28.68269785]
[13.82717473]...
[21.05746016]
[34.16472524]
[13.79114495]
[29.78022612]
[25.79496649]]
2. 梯度下降
from sklearn.linear_model import SGDRegressor
我们以单变量中的w0,w1为例子:

其中,α为学习速率,需要手动指定;
表示方向。沿着这个函数下降的方向找,最后就能找到山谷的最低点,然后更新w值。梯度下降优化方法常用于训练数据规模十分庞大的任务。
优点:对于大规模数据预测精确度较高,适用于线性模型、逻辑回归等各种类型的模型。
缺点:需要选择学习率α;需要多次迭代。
例2:将上面的波士顿房价案例使用梯度下降的方法预测。
from sklearn.datasets import load_boston
from sklearn.linear_model import SGDRegressor
from sklearn.model_selection import train_test_split
from sklearn.preprocessing import StandardScaler
# 获取数据
lb = load_boston()
# 分割数据集到训练集和测试集
x_train, x_test, y_train, y_test = train_test_split(lb.data, lb.target, test_size=0.25)
# 特征值和目标值是都必须进行标准化处理, 实例化两个标准化API
std_x = StandardScaler()
x_train = std_x.fit_transform(x_train)
x_test = std_x.transform(x_test)
# 目标值
std_y = StandardScaler()
y_train = std_y.fit_transform(y_train.reshape(-1, 1))
y_test = std_y.transform(y_test.reshape(-1, 1))
# 梯度下降去进行房价预测
sgd = SGDRegressor()
sgd.fit(x_train, y_train)
print("回归系数:", sgd.coef_)
# 预测测试集的房子价格
y_sgd_predict = std_y.inverse_transform(sgd.predict(x_test))
print("梯度下降测试集里面每个房子的预测价格:", y_sgd_predict)
输出:
回归系数: [-0.08941871 0.08789607 -0.04447809 0.07226135 -0.15867807 0.27921188
-0.00412562 -0.28211046 0.13217807 -0.08845703 -0.2132474 0.09144371
-0.44183021]
梯度下降测试集里面每个房子的预测价格: [21.11741232 8.45862731 21.73867322 20.46478787 14.76453375 ... 41.72498704 26.45385124 18.12149835 23.03475815
23.38007714]
3. 回归性能评估
均方误差(Mean Squared Error,MSE)评价机制:每一个样本误差的平方和除以样本数。
from sklearn.metrics import mean_squared_error

其中,yi为预测值,y_bar为真实值。
mean_squared_error(y_true, y_pred) 均方误差回归损失
参数:
y_true:真实值
y_pred:预测值
返回值:浮点数结果
计算例1的均方误差:
print("正规方程的均方误差:", mean_squared_error(std_y.inverse_transform(y_test), y_lr_predict))
输出:
正规方程的均方误差: 20.510530562954916
计算例2的均方误差:
print("梯度下降的均方误差:", mean_squared_error(std_y.inverse_transform(y_test), y_sgd_predict))
输出:
梯度下降的均方误差: 19.560352040811527
4. 过拟合与欠拟合
过拟合:一个假设在训练数据上能够获得比其他假设更好的拟合,但是在训练数据外的数据集上却不能很好地拟合数据,此时认为这个假设出现了过拟合的现象。
过拟合的原因通常为模型过于复杂,存在一些嘈杂特征,解决方法包括交叉验证、正则化、消除多项式中的过高次项等。
欠拟合:一个假设在训练数据上不能获得更好的拟合,但是在训练数据外的数据集上也不能很好地拟合数据,此时认为这个假设出现了欠拟合的现象。
欠拟合的原因通常为模型过于简单,解决方法为增加数据的特征数量。
5. 岭回归
岭回归是带有正则化的线性回归,可以较好地解决过拟合的问题。
from sklearn import linear_model.Ridge
L2正则化的作用:可以使得W的每个元素都很小,都接近于0。
优点:越小的参数说明模型越简单,越简单的模型则越不容易产生过拟合现象。
sklearn.linear_model.Ridge(alpha=1.0) 具有L2正则化的线性最小二乘法
参数:
alpha:正则化力度
返回值coef_属性:回归系数
例3:将上面的波士顿房价案例使用岭回归的方法预测。
from sklearn.datasets import load_boston
from sklearn.linear_model import Ridge
from sklearn.metrics import mean_squared_error
from sklearn.model_selection import train_test_split
from sklearn.preprocessing import StandardScaler
# 获取数据
lb = load_boston()
# 分割数据集到训练集和测试集
x_train, x_test, y_train, y_test = train_test_split(lb.data, lb.target, test_size=0.25)
# 特征值和目标值是都必须进行标准化处理, 实例化两个标准化API
std_x = StandardScaler()
x_train = std_x.fit_transform(x_train)
x_test = std_x.transform(x_test)
# 目标值
std_y = StandardScaler()
y_train = std_y.fit_transform(y_train.reshape(-1, 1))
y_test = std_y.transform(y_test.reshape(-1, 1))
# 岭回归去进行房价预测
rd = Ridge(alpha=1.0)
rd.fit(x_train, y_train)
print(rd.coef_)
# 预测测试集的房子价格
y_rd_predict = std_y.inverse_transform(rd.predict(x_test))
print("岭回归测试集里面每个房子的预测价格:", y_rd_predict)
print("岭回归的均方误差:", mean_squared_error(std_y.inverse_transform(y_test), y_rd_predict))
输出:
[[-0.13628067 0.16330066 -0.00630566 0.06523728 -0.20412496 0.25113994
0.0801901 -0.33633465 0.30667812 -0.20033917 -0.22404729 0.09775338
-0.45382174]]
岭回归测试集里面每个房子的预测价格: [[17.4491666 ]
[20.50750154]
[33.92237846]
[19.86748357]
[15.94954384]...
[22.40077728]
[-5.35978023]
[27.07257406]
[18.69425565]
[ 3.49050573]]
岭回归的均方误差: 19.826138761003797
最后
以上就是默默月饼最近收集整理的关于Python 机器学习6:sklearn 线性回归的全部内容,更多相关Python内容请搜索靠谱客的其他文章。
发表评论 取消回复