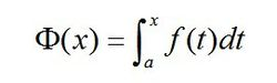
1,定义
如果f(x)在区间[a, b]上连续,设x为[a,b]上的一点,考察下面的函数:

1.1 这个函数的变量只出现在积分上限,所以叫变上限函数;同理,如果在下面,则叫变下限函数;
1.2 从几何上来看,该函数表示区间[a,x]上曲边梯形的面积(如下图)。

1.3 积分变限函数是一类重要的函数,它最著名的应用是在牛顿一莱布尼兹公式的证明中.事实上,积分变限函数是产生新函数的重要工具,尤其是它能表示非初等函数,同时能将积分学问题转化为微分学问题。积分变限函数除了能拓展我们对函数概念的理解外,在许多场合都有重要的应用。
2,函数性质
2.1 连续性
【定理一】若函数f(x)在区间[a,b]上可积,则积分变上限函数在[a,b]上连续。
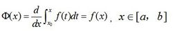
2.2 导数定理
【定理二】如果函数f(x)在区间[a,b]上连续,则积分变上限函数在[a,b]上具有导数,并且导数为:

证明过程:

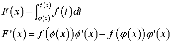
2.3 导数推广

注:(1),
x
0
为
[
a
,
b
]
上
的
任
意
一
点
;
x_0为[a,b]上的任意一点;
x0为[a,b]上的任意一点;
(2),a可以为负无穷,b可以为正无穷;
(3),此定理是变限积分的最重要的性质,掌握此定理需要注意两点:第一,下限为常数,上限为参变量x(不是含x的其他表达式);第二,被积函数f(x)中只含积分变量t,不含参变量x。
2.4 导数进一步推广

注:被积函数f(x)中只含积分变量t,不含参变量x。
2.5 原函数存在定理
若函数f(x)在区间[a,b]上连续,则积分变上限函数就是f(x)在[a,b]上的一个原函数。
3,函数应用
3.1 利用变限积分求原函数
3.2 化积分问题为微分问题
3.3 用变限函数求定积分
3.4 变量替换是重要方法
Reference
https://baike.baidu.com/item/积分变限函数/339961
最后
以上就是忧虑大叔最近收集整理的关于变限积分函数的全部内容,更多相关变限积分函数内容请搜索靠谱客的其他文章。
发表评论 取消回复