
作者:丁点helper
来源:丁点帮你
前面两篇文章初步介绍了生存分析基本入门的内容,今天我们来看看实际应用中怎么估计生存率。
具体的方法和术语我们先不讲,首先来看例子。
案例:为了解肺癌患者接受某种治疗后的生存状况,研究者收集了12名肺癌患者手术加化疗的住院资料。他们的生存时间(月)分别为:2, 5, 8, 9, 9+, 10, 13, 13, 15+, 18, 20, 23+。
试问,采用该治疗方案的12名患者的术后生存率如何?(案例来自相关教科书,有删改)
如何来评判这种治疗方法的生存率呢?我们从“生存数据”入手,关于生存数据的详细解释大家可以看第一篇文章。

今天的文章我们来一步步搞懂上面这张表。
案例中介绍了,一共有12名住院患者,他们的生存时间(用 t 表示)分别为:2, 5, 8, 9, 9+, 10, 13, 13, 15+, 18, 20, 23+,单位是月。第一个问题,有些数字有加号,有些没有,是为什么呢?
有加号的表示,该数据是“删失数据”,什么是删失数据?(以及什么是完全数据?)可以看第一篇文章。这里简单理解就是,患者失联了,后续的信息无法获取。
比如上面的生存时间数据中有一个“9+”,可以理解为,跟踪了9个月,患者一直存活且保持着联系,可是当下一次(比如第10个月开始)去找他的时候(专业名词叫“随访”),找不到了,说的不好听一点,是死是活不知道。
因此,对于这样的数据,我们就叫“删失数据”。由于患者确实可能还活着,只是失联,谨慎起见,我们就在上一次随访的数据“9”后面加一个“+”,表示他存活的时间可能长于9个月。
其他的删失数据也这样理解。搞懂删失后,我们再来看这个表。表格的第(1)列序号代表什么呢?排序的号码!
将上面12名患者的生存时间t 从小到大排序并编号。
——注意两点:
第一,完全数据和删失数据要用不同的编号,比如上面的“9”和“9+”一个是编号“4”,一个是编号“5”,完全数据列在删失数据前面;
第二,其他情况下,相同的生存时间编号相同,比如上面有两个“13”,所以都编为“7”。
编号完成后,就把相应的生存时间排进去,见上表第(2)列。
这里大家需要熟悉一些表达,比如t₁=2、t₂=5 ... 就是指随访的第一个时间点是2个月,随访的第二个时间点是第5个月。
接着往后看,第(3)列是“死亡例数”,就是指在这个时间段的死亡人数是多少?
比如在第一个时间段内( t₁=2 )有1名患者死亡,就表示为:d₁=1;
同理,在第二个时间段内也有1名死亡(注意是: t₁~ t₂,就是2月末到第5月末),表示为:d₂=1;
后续依次类推,这里需要注意的是,“死亡例数”记录的是某个特定的时间段内的死亡人数,不是累计的死亡人数。
表格中第(4)列称作“删失数据”,就是记录那些带“+”号的数据的,可以发现,上面每一个删失数据都单独做一例录入。
第(5)列“期初人数”就与上面“死亡例数”相对应,就是指这个观察期开始时的人数。
第一个数( n₁)是“12”,就表示刚开始观察的人数是12人。
随着观察时间的延长,有患者死亡,就算作是一期。比如,到第2月末时,有1名患者死亡,那么下一个观察期的“期初人数”就是 12-1 = 11,因此: n₂=11,到第5月末时,又一名患者死亡,第3期(i = 3)“期初人数”就是 11-1 = 10,表示为: n₃=10。
后面的以此类推,由此我们可以得出一个计算公式:


后面两列——死亡概率和生存概率也很好理解,只有一点,就是要明白这里计算的概率都是以一期为单位的,而不是累积的。
比如第一期( i=1),一名患者死亡,所以,死亡概率就是:1/12;对应的生存概率就是:1-1/12。
第二期( i=2),也有一名患者死亡,死亡概率:1/11; 生存概率:1-1/11。
需要注意,这里的分母变成了11。原因还是:这里是以每一期为一个单位,计算时,都以该期的“期初人数”为分母。
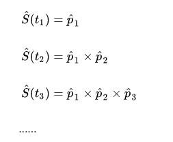
搞清楚了死亡概率和生存概率,终于迎来了我们的主角“生存率”。
这个生存率怎么计算?很简单,就是各期生存概率的乘积。

后面的依次类推,就是这么简单。
我们来验算一下,比如:

用计算器算一下,这个也可以口算,你发现了么?
至于为什么这里都要加一个“ ^ ”以及上表中最后一列“生存率的标准误”怎么理解和计算,我们留到下一篇文章。
以上我们估算生存率的方法教科书称为:Kaplan-Meier法,又称乘积极限法,可以简单记为K-M法。
其基本思想是:将所有观察对象的生存时间(包括删失数据)由小到大依次排列,对每个时间点进行死亡概率、生存概率和生存率的估计。
回顾上面的文章,是否就是这个过程呢?
K-M法一般用于观察对象数目较少的没有进行特定分组的资料(如同本例)。这样可以能够充分利用每条记录的信息,估计不同生存时间点的生存率。
以上就是今天的内容。我们可以看到,实际应用中生存率的计算并不难,就是几个概率相乘。
学习起来真正的难点是一整套数据的记录和整理方法,而且还出现“删失”这种看起来就头大的术语。
所以,处理生存分析,首先要按照我们今天文章的梳理过程,一步一步弄懂每一个的指标的意义,生存率的估计就水到渠成了。
最后
以上就是清爽舞蹈最近收集整理的关于生存曲线的估计方法(1):先看懂这个表的全部内容,更多相关生存曲线内容请搜索靠谱客的其他文章。
发表评论 取消回复