题意
有
2
n
2^n
2n 进行两两决斗,胜者进入下一轮。
每次可以询问系统两个人胜利的场次。
在不超过
⌈
1
3
⋅
2
n
+
1
⌉
left lceil frac{1}{3} cdot 2^{n + 1} right rceil
⌈31⋅2n+1⌉ 次询问的条件下,求出最终的胜者。
1
≤
n
≤
17
1≤n≤17
1≤n≤17

思路
设一共有 n 人。
如果朴素询问的话,从最底层每次询问两个,分别询问每一局的胜者是谁,一共 n-1 局,得到最终胜者的询问次数为 n-1。
但是注意要求不超过
⌈
2
3
∗
n
⌉
left lceil frac{2}{3} * n right rceil
⌈32∗n⌉ 次询问,也就是说,每 3 局最多询问 2 次就要确定一个胜者。
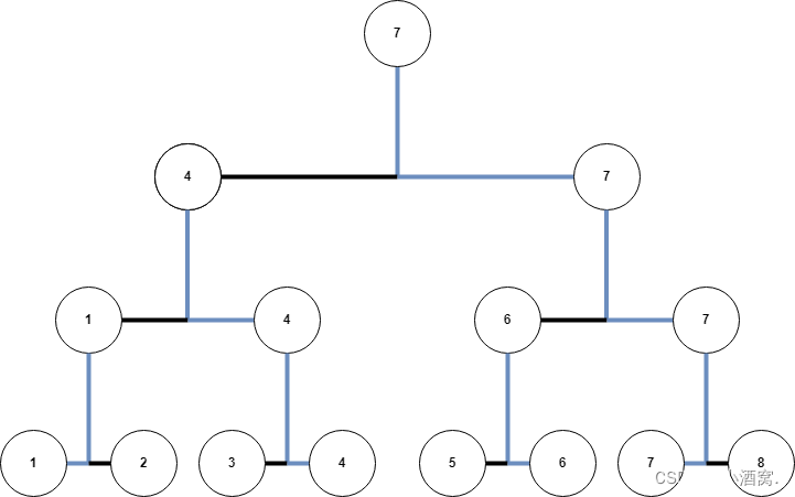
三局一共 4 人,分别记为 a, b, c, d。例如图中的 1, 2, 3, 4。
首先询问 a 和 c 的胜利次数:
- 如果 a 的胜利次数 大于 c 的胜利次数,那么说明 c 输给了 d,那么再让 a 和 d 比较,赢者便是这 4 人中的最终胜者。
- 如果 a 的胜利次数 小于 c 的胜利次数,那么说明 a 输给了 b,那么再让 b 和 c 比较,赢者便是这 4 人中的最终胜者。
- 如果 a 的胜利次数 和 c 的胜利次数相同,那么说明 a 赢了 b,c 赢了 d,或者 a 输给了 b,c 输给了 d。但是如果两个都赢的话,这两个也会决斗,只有一人胜利,胜利次数不可能相同。所以只有后面那种情况,a 输给了 b,c 输给了 d。那么再让 b 和 d 比较,赢者便是最终胜者。
这样将初始的 n 人四个四个求出初胜者,得到 n/4 个胜者,再不断进行下去,最终剩下 2 个或者 1 个。
Code
#include<bits/stdc++.h>
using namespace std;
#define Ios ios::sync_with_stdio(false),cin.tie(0)
const int N = 200010, mod = 1e9+7;
int T, n, m;
int ask(int x, int y)
{
cout << "? " << x << " " << y << endl;
cout.flush();
int ans; cin >> ans;
return ans;
}
signed main(){ //注意交互题不要加 ios
cin >> T;
while(T--)
{
cin >> n;
n = 1 << n;
queue<int> que;
for(int i=1;i<=n;i++) que.push(i);
while(que.size() >= 4)
{
int a = que.front(); que.pop(); //队头取出四个
int b = que.front(); que.pop();
int c = que.front(); que.pop();
int d = que.front(); que.pop();
int x;
int ac = ask(a, c);
if(ac == 1){
int ans = ask(a, d);
if(ans == 1) x = a;
else x = d;
}
else if(ac == 2){
int ans = ask(b, c);
if(ans == 1) x = b;
else x = c;
}
else{
int ans = ask(b, d);
if(ans == 1) x = b;
else x = d;
}
que.push(x); //结果放到队尾
}
if(que.size() == 2){
int a = que.front(); que.pop();
int b = que.front(); que.pop();
int ans = ask(a, b);
if(ans == 1) que.push(a);
else que.push(b);
}
cout << "! " << que.front() << endl;
}
return 0;
}
经验
注意题目给的询问次数限制有提示作用,不是平白无故给你的,如果把这个看懂的话,题目也就差不多了。
最后
以上就是不安中心最近收集整理的关于D. Tournament Countdown(交互题)的全部内容,更多相关D.内容请搜索靠谱客的其他文章。
发表评论 取消回复