文章目录
- 1、什么是熵权法
- 1.1 优点
- 1.2 缺点
- 1.3 适用范围
- 2、使用熵权法过程
- 2.1 数据预处理
- 2.1.1清洗指标极值
- 2.1.2 归一化指标处理
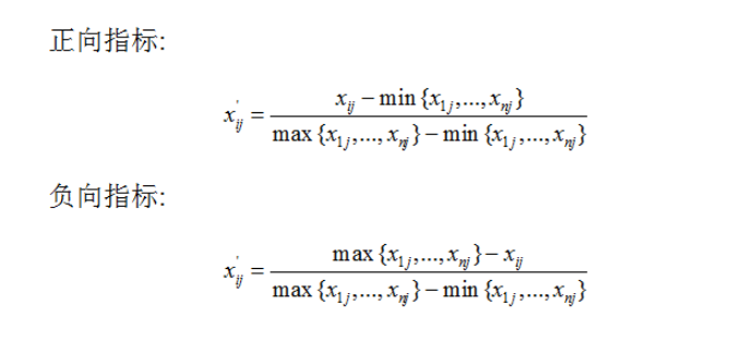
- 2.1.2.1 临界值法
- 2.1.2.2 Z-score法
- 2.2 计算第项指标下第i个样本值占该指标的比重
- 2.3 计算第j项指标的熵值
- 2.4 计算各项指标的权重
- 3、实例
- 4、参考资料
1、什么是熵权法
一种客观赋值法,确定样本每个指标的权重。涉及到信息量信息熵的个概念可以去这里查看
1.1 优点
- 熵权法能深刻反应指标的区分能力,确定较好的权重
- 赋权更加客观,有理论依据,可信度也更加高
- 算法简单,实践,不需要其他软件分析
1.2 缺点
- 无法考虑到指标与指标之间的横向影响
- 对样本依赖性大,随建模样本变化,权重也会发生变化
- 可能导致权重失真,最终结果无效。
1.3 适用范围
单单使用熵值法权重失真是经常发生的,要结合一定专家打分法才能发挥熵值法的优势。上层可能需要结合专家经验来构建,而底层的指标分的比较细,权重比较难确定,这种情况下采用熵值法比较合适。
另外,确定权重前需要确定指标对目标得分的影响方向,对非线性的指标要进行预处理或者剔除。还要注意处理好极值。
2、使用熵权法过程
2.1 数据预处理
2.1.1清洗指标极值
原则:剔除占样本总数不到1-2%但指标值贡献率超过20-30%以上的极值样本。大大增加样本的变异程度,但实际上却没有起到很大的作用。
2.1.2 归一化指标处理
假设对 n个样本, m个指标,则 x i j x_{ij} xij 为第 i 个样本的第 j 个指标的数值( i = 1 , . . . , n , j = 1 , . . . , k i=1,...,n,j=1,...,k i=1,...,n,j=1,...,k)
2.1.2.1 临界值法

2.1.2.2 Z-score法

2.2 计算第项指标下第i个样本值占该指标的比重
p i j = Y i j / ∑ i = 1 n Y i j p_{ij} = Y_{ij}/sum_{i=1}^{n}Y_{ij} pij=Yij/i=1∑nYij
2.3 计算第j项指标的熵值
E j = − ∑ i = 1 n p i j × l o g 2 ( p i j ) E_j = -sum_{i=1}^{n}p_{ij} times log_2(p_{ij}) Ej=−i=1∑npij×log2(pij)
2.4 计算各项指标的权重
各项指标的信息熵为
E
1
,
E
2
,
.
.
.
,
E
k
E_1, E_2,...,E_k
E1,E2,...,Ek
通过信息熵计算各指标的权重
W
i
=
1
−
E
i
k
−
∑
E
i
(
i
=
1
,
2
,
.
.
.
,
k
)
W_i = frac{{1-E_i}}{k-sum{E_i}} (i=1,2,...,k)
Wi=k−∑Ei1−Ei(i=1,2,...,k)
3、实例
import pandas as pd
import numpy as np
import math
from numpy import array
from sklearn.preprocessing import MinMaxScaler
from sklearn.datasets import load_iris
# 1读取数据,使用sklearn自带的鸢尾数据集
iris = load_iris()
x = iris.data
df = pd.DataFrame(x)
# 2数据预处理 ,去除空值的记录
df.dropna(inplace=True)
# 定义熵权法函数
def cal_weight(x):
Scaler = MinMaxScaler().fit(x)
'''熵值法计算变量的权重'''
# 标准化
x = Scaler.transform(x)
# 求k
rows = x.shape[0] # 行
cols = x.shape[1] # 列
k = 1.0 / math.log(rows)
# 矩阵计算--
# 信息熵
# p=array(p)
x = array(x)
lnf = [[None] * cols for i in range(rows)]
lnf = array(lnf)
for i in range(0, rows):
for j in range(0, cols):
if x[i][j] == 0:
lnfij = 0.0
else:
p = x[i][j] / x.sum(axis=0)[j]
lnfij = math.log(p) * p * (-k)
lnf[i][j] = lnfij
lnf = pd.DataFrame(lnf)
E = lnf
# 计算冗余度
d = 1 - E.sum(axis=0)
# 计算各指标的权重
w = np.zeros((x.shape[1],))
for j in range(cols):
wj = d[j] / sum(d)
w[j] = wj
# 计算各样本的综合得分,用最原始的数据
w = pd.DataFrame(w)
return w
if __name__ == '__main__':
# 计算df各字段的权重
w = cal_weight(df) # 调用cal_weight
w.index = iris.feature_names
w.columns = ['weight']
print(w)
4、参考资料
https://hujichn.github.io/2016/08/10/熵值法确定权重的步骤及适用范围/
https://blog.csdn.net/starter_____/article/details/82086090
最后
以上就是平常豌豆最近收集整理的关于(1)评价算法—熵权法1、什么是熵权法2、使用熵权法过程3、实例4、参考资料的全部内容,更多相关(1)评价算法—熵权法1、什么是熵权法2、使用熵权法过程3、实例4、参考资料内容请搜索靠谱客的其他文章。
发表评论 取消回复