
作者: 周婷
方向: 情感分析
学校: 中山大学
论文:Relational Graph Attention Network for Aspect-based Sentiment Analysis
录取:ACL2020
单位:中山大学&阿里巴巴
本文贡献有如下两点:
提出了一个面向方面的树结构,通过重塑和修剪普通的依存树来关注目标方面。
提出了一个新的GAT模型来编码依存关系,建立方面和意见词之间的联系。
餐厅评论中的三个例子来说明 ABSA 中方面aspect、注意力和句法之间的关系。Labeled edges表示依存关系,每个单词下的分数表示由LSTM分配注意力权重。具有高注意力权重的词在「红色框」中突出显示,括号中的词是目标方面target aspect,后面是它们的情感标签。
面向方面的树的构建
输入:原来的解析结果以及句子和方面。(原文有伪代码)
「第一步」 将目标方面放在根节点
「第二步」 我们将与方面有直接连接的节点设置为子节点,保留原始的依存关系
「第三步」 舍弃了其他的依存关系,取而代之的是一个从aspect到每个对应节点的虚拟关系n:con,其中n表示两个节点之间的距离。
注意 如果句子包含多个方面,我们为每个方面构建一个唯一的树。
根据是前人研究证明只关注在语法上接近目标方面的一小部分上下文词就足够了。好处是每个方面都有自己的依存树,可以减少不相关节点和关系的影响,同时这种统一的树结构不仅使模型专注于方面和情感词之间的联系,而且在训练过程中便于批量操作和并行操作。
R-GAT
为了对上述树进行编码,在GAT的基础上提出了一个新的R-GAT:relation graph attention network
GAT实现的是:
每个结点只对邻居结点进行注意力计算权重。这个得到的是。注意 表明一共使用了个做转换矩阵,最后将它们得到的结果拼接到一起。
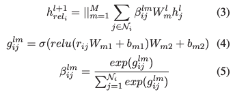
作者认为没有考虑到和相邻接点的依存关系是存在不同的,不可以用同样方法去计算。因此引入了考虑不同的依存关系的R-GAT来补充信息。大致的思想相同,只是对于(1)中的有考虑进新的信息,也就是不同的依存关系。
「R-GAT」:
也就是先将依存关系经过两层线性层,然后对一个结点的所有边的结果归一化,变成对应的系数。
整个网络结构
结构很简单如下:
具体来说首先需要把句子的依存分析结果通过变换得到面向方面的数,这个结果将参与后续的图编码。
「第一步」,将句子的词嵌入经过BiLSTM编码得到,利用另一个BiLSTM编码方面词作为根节点嵌入的初始化。
「第二步」,利用GAT和R-GAT分别去处理h,得到和,注意相当于只用处理一个根节点。将得到的结果拼接到一起,再经过一个线性层就是该方面词的表达。
「第三步」,softmax分类得到方面词预测结果。
Loss Function
实验和分析
不同方法在三个数据集上的实验:
多方面分析结果,表明距离较近的方面往往导致准确度得分较低:
不用Parser的影响:
消融研究的结果,其中“Ordinary”表示使用普通依存树,“Reshape”表示使用面向方面的树,“*-n:con”表示不使用n:con的面向方面的树:
R-GAT 和 R-GAT+BERT 对来自Restaurant数据集的 100 个错误分类示例的错误分析结果。原因分为四类,并给出了样本。上表对应 R-GAT 的结果,下表对应 R-GAT+BERT:
????论文解读投稿,让你的文章被更多不同背景、不同方向的人看到,不被石沉大海,或许还能增加不少引用的呦~ 投稿加下面微信备注“投稿”即可。
最近文章
为什么回归问题不能用Dropout?
Bert/Transformer 被忽视的细节
中文小样本NER模型方法总结和实战
一文详解Transformers的性能优化的8种方法
DiffCSE: 将Equivariant Contrastive Learning应用于句子特征学习
苏州大学NLP团队文本生成&预训练方向招收研究生/博士生(含直博生)
NIPS'22 | 重新审视区域视觉特征在基于知识的视觉问答中的作用
武汉大学提出:用于基于统一Aspect的情感分析的关系感知协作学习
全新的多模态预训练范式:微软提出GLIP统一了对象检测和短语定位任务
COLING'22 | SelfMix:针对带噪数据集的半监督学习方法
投稿或交流学习,备注:昵称-学校(公司)-方向,进入DL&NLP交流群。
方向有很多:机器学习、深度学习,python,情感分析、意见挖掘、句法分析、机器翻译、人机对话、知识图谱、语音识别等。

记得备注~
最后
以上就是细腻水杯最近收集整理的关于中山大学&阿里巴巴提出:用于基于Aspect的情感分析的关系图注意网络(GAT)的全部内容,更多相关中山大学&阿里巴巴提出:用于基于Aspect内容请搜索靠谱客的其他文章。
发表评论 取消回复