1. 题目描述
两两交换链表中的节点
2. 题目分析
1.链表如下所示:

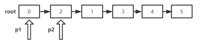
2. 建立一个root结点,并建立两个结点指针,如图所示:

注意:这里的0结点,是JAVA建立root结点是附带的:ListNode root = new ListNode(0);

3. 思路如下:
将p1.next连接到p2.next(0----->2),如下:

将p2.next连接到p1.next.next(1----->3),如下:

将p1.next.next连接到p2(相当于2----->1),如图所示:

千万不要链表越界,注意p2指针的范围while(p2 != null && p2.next != null)
3. 题目代码
class Solution {
public ListNode swapPairs(ListNode head) {
if(head == null){
return head;
}
ListNode root = new ListNode(0);
root.next = head;
ListNode p1 = root;
ListNode p2 = root.next;
while(p2 != null && p2.next != null) {
p1.next = p2.next;
p2.next = p1.next.next;
p1.next.next = p2;
p1 = p2;
p2 = p2.next;
}
return root.next;
}
}
最后
以上就是精明泥猴桃最近收集整理的关于链表中奇数位和偶数位的置换1. 题目描述2. 题目分析3. 题目代码的全部内容,更多相关链表中奇数位和偶数位的置换1.内容请搜索靠谱客的其他文章。
本图文内容来源于网友提供,作为学习参考使用,或来自网络收集整理,版权属于原作者所有。
发表评论 取消回复