我是靠谱客的博主 紧张紫菜,这篇文章主要介绍2017 ACM-ICPC南宁网络赛: I. GSM Base Station Identification(线性变换),现在分享给大家,希望可以做个参考。
https://nanti.jisuanke.com/t/17316
题面有问题直接放链接
题意:
输入一个坐标,问这个坐标所在正六边形的ID,正六边形具分布如下:

题解:
还是看上图,坐标系原点不变,其他所有的点按照一定规则变换到对应正六边形的红点上
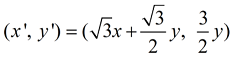
例如(1,0)->(sqrt(3), 0),(0, 1)->(sqrt(3)/2, 1.5)
变换规则为(x和y都要先除以5!)

之后每输入一个点,只要暴力变换后坐标系的每个点即可,如果两个点距离小与等于1直接输出
#include<stdio.h>
#include<math.h>
int main(void)
{
int T, i, j, ax, ay;
double x, y, a, b;
T = 10;
while(T--)
{
scanf("%lf%lf", &a, &b);
a /= 5, b /= 5;
//ax = ay = 1000;
for(i=-9;i<=10;i++)
{
for(j=-9;j<=10;j++)
{
x = i*sqrt(3.0)+j*sqrt(3.0)/2;
y = j*3/2;
if((x-a)*(x-a)+(y-b)*(y-b)<=1)
ax = i, ay = j;
}
}
printf("[%d,%d]", ax, ay);
if(T!=0)
printf(", ");
}
printf("n");
return 0;
}
最后
以上就是紧张紫菜最近收集整理的关于2017 ACM-ICPC南宁网络赛: I. GSM Base Station Identification(线性变换)的全部内容,更多相关2017内容请搜索靠谱客的其他文章。
本图文内容来源于网友提供,作为学习参考使用,或来自网络收集整理,版权属于原作者所有。
发表评论 取消回复