最近在工作中要处理好多文本文档,要求找出和每个文档的相识的文档。通过查找资料总结如下几个计算方法:
1、余弦相似性
我举一个例子来说明,什么是"余弦相似性"。
为了简单起见,我们先从句子着手。

请问怎样才能计算上面两句话的相似程度?
基本思路是:如果这两句话的用词越相似,它们的内容就应该越相似。因此,可以从词频入手,计算它们的相似程度。
第一步,分词。

第二步,列出所有的词。

第三步,计算词频。

第四步,写出词频向量。

到这里,问题就变成了如何计算这两个向量的相似程度。
我们可以把它们想象成空间中的两条线段,都是从原点([0, 0, ...])出发,指向不同的方向。两条线段之间形成一个夹角,如果夹角为0度,意味着方向相同、线段重合;如果夹角为90度,
意味着形成直角,方向完全不相似;如果夹角为180度,意味着方向正好相反。因此,我们可以通过夹角的大小,来判断向量的相似程度。夹角越小,就代表越相似。

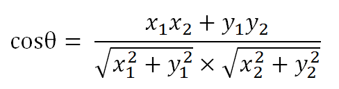
以二维空间为例,上图的a和b是两个向量,我们要计算它们的夹角θ。余弦定理告诉我们,可以用下面的公式求得:


假定a向量是[x1, y1],b向量是[x2, y2],那么可以将余弦定理改写成下面的形式:


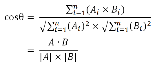
数学家已经证明,余弦的这种计算方法对n维向量也成立。假定A和B是两个n维向量,A是 [A1, A2, ..., An] ,B是 [B1, B2, ..., Bn] ,则A与B的夹角θ的余弦等于:

使用这个公式,我们就可以得到,句子A与句子B的夹角的余弦。

余弦值越接近1,就表明夹角越接近0度,也就是两个向量越相似,这就叫"余弦相似性"。所以,上面的句子A和句子B是很相似的,事实上它们的夹角大约为20.3度。
由此,我们就得到了"找出相似文章"的一种算法:
1、使用TF-IDF算法,找出两篇文章的关键词;
2、每篇文章各取出若干个关键词(比如20个),合并成一个集合,计算每篇文章对于这个集合中的词的词频(为了避免文章长度的差异,可以使用相对词频);
3、生成两篇文章各自的词频向量;
4、计算两个向量的余弦相似度,值越大就表示越相似。
"余弦相似度"是一种非常有用的算法,只要是计算两个向量的相似程度,都可以采用它。
应用场景及优缺点
本文目前将该算法应用于网页标题合并和标题聚类中,目前仍在尝试应用于其它场景中。
优点:计算结果准确,适合对短文本进行处理。
缺点:需要逐个进行向量化,并进行余弦计算,比较消耗CPU处理时间,因此不适合长文本,如网页正文、文档等。
java实现代码
package main.java; import com.hankcs.hanlp.HanLP; import com.hankcs.hanlp.corpus.tag.Nature; import com.hankcs.hanlp.seg.common.Term; import java.util.*; /** * @Author:sks * @Description: * @Date:Created in 16:04 2018/6/1 * @Modified by: **/ public class CosineSimilarity { public static void main(String[] args) { ComputeTxtSimilar(); } private static void ComputeTxtSimilar(){ String txtLeft = CommonClass.getDocFileText("D:/work/Solr/ImportData-1/160926 进击的直播:细数各路媒体的入场“姿势”(完整版).doc"); String txtRight = CommonClass.getDocFileText("D:/work/Solr/ImportData-1/160926 刘庆振 直播经济:全民网红时代的内容创业与流量变现.doc"); //所有文档的总词库 List<String> totalWordList = new ArrayList<String>(); //计算文档的词频 Map<String, Integer> leftWordCountMap = getWordCountMap(txtLeft, totalWordList); Map<String, Float> leftWordTfMap = calculateWordTf(leftWordCountMap); Map<String, Integer> rightWordCountMap = getWordCountMap(txtRight, totalWordList); Map<String, Float> rightWordTfMap = calculateWordTf(rightWordCountMap); //获取文档的特征值 List<Float> leftFeature = getTxtFeature(totalWordList,leftWordTfMap); List<Float> rightFeature = getTxtFeature(totalWordList,rightWordTfMap); //计算文档对应特征值的平方和的平方根 float leftVectorSqrt = calculateVectorSqrt(leftWordTfMap); float rightVectorSqrt = calculateVectorSqrt(rightWordTfMap); //根据余弦定理公司,计算余弦公式中的分子 float fenzi = getCosValue(leftFeature,rightFeature); //根据余弦定理计算两个文档的余弦值 double cosValue = 0; if (fenzi > 0) { cosValue = fenzi / (leftVectorSqrt * rightVectorSqrt); } cosValue = Double.parseDouble(String.format("%.4f",cosValue)); System.out.println(cosValue); } /** * @Author:sks * @Description:获取词及词频键值对,并将词保存到词库中 * @Date: */ public static Map<String,Integer> getWordCountMap(String text,List<String> totalWordList){ Map<String,Integer> wordCountMap = new HashMap<String,Integer>(); List<Term> words= HanLP.segment(text); int count = 0; for(Term tm:words){ //取字数为两个字或两个字以上名词或动名词作为关键词 if(tm.word.length()>1 && (tm.nature== Nature.n||tm.nature== Nature.vn)){ count = 1; if(wordCountMap.containsKey(tm.word)) { count = wordCountMap.get(tm.word) + 1; wordCountMap.remove(tm.word); } wordCountMap.put(tm.word,count); if(!totalWordList.contains(tm.word)){ totalWordList.add(tm.word); } } } return wordCountMap; } //计算关键词词频 private static Map<String, Float> calculateWordTf(Map<String, Integer> wordCountMap) { Map<String, Float> wordTfMap =new HashMap<String, Float>(); int totalWordsCount = 0; Collection<Integer> cv = wordCountMap.values(); for (Integer count : cv) { totalWordsCount += count; } wordTfMap = new HashMap<String, Float>(); Set<String> keys = wordCountMap.keySet(); for (String key : keys) { wordTfMap.put(key, wordCountMap.get(key) / (float) totalWordsCount); } return wordTfMap; } //计算文档对应特征值的平方和的平方根 private static float calculateVectorSqrt(Map<String, Float> wordTfMap) { float result = 0; Collection<Float> cols = wordTfMap.values(); for(Float temp : cols){ if (temp > 0) { result += temp * temp; } } return (float) Math.sqrt(result); } private static List<Float> getTxtFeature(List<String> totalWordList,Map<String, Float> wordCountMap){ List<Float> list =new ArrayList<Float>(); for(String word :totalWordList){ float tf = 0; if(wordCountMap.containsKey(word)){ tf = wordCountMap.get(word); } list.add(tf); } return list; } /** * @Author:sks * @Description:根据两个向量计算余弦值 * @Date: */ private static float getCosValue(List<Float> leftFeature, List<Float> rightFeature) { float fenzi = 0; float tempX = 0; float tempY = 0; for (int i = 0; i < leftFeature.size(); i++) { tempX = leftFeature.get(i); tempY = rightFeature.get(i); if (tempX > 0 && tempY > 0) { fenzi += tempX * tempY; } } return fenzi; } }
2、SimHash
SimHash为Google处理海量网页的采用的文本相似判定方法。该方法的主要目的是降维,即将高维的特征向量映射成f-bit的指纹,通过比较两篇文档指纹的汉明距离来表征文档重复或相似性。
备注:此处f-bit指纹,可以根据应用需求,定制为16位、32位、64位或者128位数等。
simhash算法分为5个步骤:分词、hash、加权、合并、降维,具体过程如下所述:

1、分词
这一步和上面的余弦相似性介绍的一到四步骤类似。
2、hash
通过hash函数计算各个特征向量的hash值,hash值为二进制数01组成的n-bit签名。比如比如句子 A:我 1,喜欢 2,看 2,电视 1,电影 1,不 1,也 0中的hash值Hash(喜欢)为100101,
“电视”的hash值Hash(电视)为“101011”(当然实际的值要比这个复杂,hash串比这要长)就这样,字符串就变成了一系列数字。
3、加权
通过 2步骤的hash生成结果,需要按照单词的权重形成加权数字串,比如“喜欢”的hash值为“100101”,把hash值从左到右与权重相乘,如果为1则乘以1 ,如果是0则曾以-1 ,喜欢的权重是2 计算为“2 -2 -2 2 -2 2”;
“电视”的hash值为“101011”,通过加权计算为 “ 1 -1 1 -1 1 1”,其余特征向量类似此般操作。
4、合并
把上面所有各个单词算出来的序列值累加,变成只有一个序列串。比如 “喜欢”的“2 -2 -2 2 -2 2”,“电视”的 “ 1 -1 1 -1 1 1”, 把每一位进行累加, (2+1)+(-2-1)+(-2+1)+(2-1)+(-2+1)+(2+1)=3 -3 -1 1 -1 3
这里作为示例只算了两个单词的,真实计算需要把所有单词的序列串累加。
5、降维
把4步算出来的 “3 -3 -1 1 -1 3” 变成 0 1 串,形成我们最终的simhash签名。 如果每一位大于0 记为 1,小于0 记为 0。最后算出结果为:“1 0 0 1 0 1”。这样就得到了每篇文档的SimHash签名值
6、海明距离
海明距离的求法:异或时,只有在两个比较的位不同时其结果是1 ,否则结果为0,两个二进制“异或”后得到1的个数即为海明距离的大小。
根据经验值,对64位的 SimHash值,海明距离在3以内的可认为相似度比较高。
比如:
A:我喜欢看电视,不喜欢看电影 其hash值为 1 0 0 1 0 1
B:我也很喜欢看电视,但不喜欢看电影 其hash值为 1 0 1 1 0 1
两者 hash 异或运算结果 001000,统计结果中1的个数是1,那么两者的海明距离就是1,说明两者比较相似。
7、 python代码和java实现代码
# coding=utf-8 class simhash: # 构造函数 def __init__(self, tokens='', hashbits=128): self.hashbits = hashbits self.hash = self.simhash(tokens) # 生成simhash值 def simhash(self, tokens): # v是长度128的列表 v = [0] * self.hashbits tokens_hash = [self.string_hash(x) for x in tokens] for t in tokens_hash: # t为token的普通hash值 for i in range(self.hashbits): bitmask = 1 << i if t & bitmask: v[i] += 1 # 查看当前bit位是否为1,是的话将该位+1 else: v[i] -= 1 # 否则的话,该位-1 fingerprint = 0 for i in range(self.hashbits): if v[i] >= 0: fingerprint += 1 << i return fingerprint # 整个文档的fingerprint为最终各个位>=0的和 # 求海明距离 def hamming_distance(self, other): # 异或结果 xorResult = (self.hash ^ other.hash) # 128个1的二进制串 hashbit128 = ((1 << self.hashbits) - 1) x = xorResult & hashbit128 count = 0 while x: count += 1 x &= x - 1 return count # 求相似度 def similarity(self, other): a = float(self.hash) b = float(other.hash) if a > b: return b / a else: return a / b # 针对source生成hash值 def string_hash(self, source): if source == "": return 0 else: result = ord(source[0]) << 7 m = 1000003 hashbit128 = ((1 << self.hashbits) - 1) for c in source: temp = (result * m) ^ ord(c) result = temp & hashbit128 result ^= len(source) if result == -1: result = -2 return result if __name__ == '__main__': s = '你 知道 里约 奥运会,媒体 玩出了 哪些 新花样?' hash1 = simhash(s.split()) print hash1.__str__() s = '我不知道 里约 奥运会,媒体 玩出了 哪些 新花样' hash2 = simhash(s.split()) print hash2.__str__() s = '视频 直播 全球 知名 媒体 的 战略 转移' hash3 = simhash(s.split()) print(hash1.hamming_distance(hash2), " ", hash1.similarity(hash2)) print(hash1.hamming_distance(hash3), " ", hash1.similarity(hash3)) print(hash2.hamming_distance(hash3), " ", hash2.similarity(hash3))
package main.java; import java.math.BigInteger; import java.util.StringTokenizer; public class SimHash { private String tokens; private BigInteger strSimHash; private int hashbits = 128; /** * @Author:sks * @Description 构造函数: * @tokens: 特征值字符串,括号内的数值是权重,媒体(56),发展(31),技术(15),传播(12),新闻(11),用户(10),信息(10),生产(9) */ public SimHash(String tokens) { this.tokens = tokens; this.strSimHash = this.simHash(); } public SimHash(String tokens, int hashbits) { this.tokens = tokens; this.hashbits = hashbits; this.strSimHash = this.simHash(); } public String getSimHash(){ return this.strSimHash.toString(); } private BigInteger simHash() { int[] v = new int[this.hashbits]; StringTokenizer stringTokens = new StringTokenizer(this.tokens,","); while (stringTokens.hasMoreTokens()) { //媒体(56) String temp = stringTokens.nextToken(); String token = temp.substring(0,temp.indexOf("(")); int weight = Integer.parseInt(temp.substring(temp.indexOf("(")+1,temp.indexOf(")"))); BigInteger t = this.hash(token); for (int i = 0; i < this.hashbits; i++){ BigInteger bitmask = new BigInteger("1").shiftLeft(i); if (t.and(bitmask).signum() != 0) { v[i] += 1 * weight;//加权 } else { v[i] -= 1 * weight; } } } BigInteger fingerprint = new BigInteger("0"); for (int i = 0; i < this.hashbits; i++) { if (v[i] >= 0) { fingerprint = fingerprint.add(new BigInteger("1").shiftLeft(i)); } } return fingerprint; } private BigInteger hash(String source) { if (source == null || source.length() == 0) { return new BigInteger("0"); } else { char[] sourceArray = source.toCharArray(); BigInteger x = BigInteger.valueOf(((long) sourceArray[0]) << 7); BigInteger m = new BigInteger("1000003"); BigInteger mask = new BigInteger("2").pow(this.hashbits).subtract( new BigInteger("1")); for (char item : sourceArray) { BigInteger temp = BigInteger.valueOf((long) item); x = x.multiply(m).xor(temp).and(mask); } x = x.xor(new BigInteger(String.valueOf(source.length()))); if (x.equals(new BigInteger("-1"))) { x = new BigInteger("-2"); } return x; } } /** * @Author:sks * @Description:计算海明距离 * @leftSimHash,rightSimHash:要比较的信息指纹 * @hashbits:128 */ public static int hammingDistance(String leftSimHash,String rightSimHash,int hashbits){ BigInteger m = new BigInteger("1").shiftLeft(hashbits).subtract( new BigInteger("1")); BigInteger left = new BigInteger(leftSimHash); BigInteger right = new BigInteger(rightSimHash); BigInteger x = left.xor(right).and(m); int count = 0; while (x.signum() != 0) { count += 1; x = x.and(x.subtract(new BigInteger("1"))); } return count; } public static void main(String[] args) { String s = "你,知道,里约,奥运会,媒体,玩出,了,哪些,新,花样"; SimHash hash1 = new SimHash(s, 128); System.out.println(hash1.getSimHash() + " " + hash1.getSimHash().bitCount()); s = "我,不,知道,里约,奥运会,媒体,玩出,了,哪些,新,花样"; SimHash hash2 = new SimHash(s, 128); System.out.println(hash2.getSimHash() + " " + hash2.getSimHash().bitCount()); s = "视频,直播,全球,知名,媒体,的,战略,转移"; SimHash hash3 = new SimHash(s, 128); System.out.println(hash3.getSimHash() + " " + hash3.getSimHash().bitCount()); System.out.println("============================"); System.out.println(SimHash.hammingDistance(hash1.getSimHash(),hash2.getSimHash(),128)); System.out.println(SimHash.hammingDistance(hash1.getSimHash(),hash3.getSimHash(),128)); System.out.println(SimHash.hammingDistance(hash2.getSimHash(),hash3.getSimHash(),128)); } }
参考资料:
1、http://www.ruanyifeng.com/blog/2013/03/cosine_similarity.html
2、数学之美
3、https://blog.csdn.net/u011630575/article/details/52164688
4、https://blog.csdn.net/chenguolinblog/article/details/50830948
最后
以上就是虚拟长颈鹿最近收集整理的关于文本相似性计算总结(余弦定理,simhash)及代码的全部内容,更多相关文本相似性计算总结(余弦定理内容请搜索靠谱客的其他文章。
发表评论 取消回复