前言
余弦相似度,又称为余弦相似性,是通过计算两个向量的夹角余弦值来评估他们的相似度。余弦相似度将向量根据坐标值,绘制到向量空间中。用向量空间中两个向量夹角的余弦值作为衡量两个个体间差异的大小。余弦值越接近1,就表明夹角越接近0度,也就是两个向量越相似,反之越接近0就表示两个向量相似度越低,这就叫"余弦相似性"。
正文
重温余弦定理
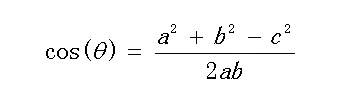
先简单的重温一下高中数学知识,余弦定理

这个公式大家不知道还有没有印象呢?没有的话我们看下下面的图

此时a=(xa,ya),b=(xb,0),那么怎么计算各边长的长度呢?

此时将各边长代入上图的公式当中,最后可以得出最终的计算公式
最后
以上就是玩命野狼最近收集整理的关于java 余弦定理_文本相似度计算之余弦定理的全部内容,更多相关java内容请搜索靠谱客的其他文章。
本图文内容来源于网友提供,作为学习参考使用,或来自网络收集整理,版权属于原作者所有。
发表评论 取消回复