我是靠谱客的博主 安详店员,这篇文章主要介绍同济大学高等数学下册第九章多元函数微分法及其应用以及每日一题第九章、多元函数微分法及其应用网课笔记小试身手2021.4.1强化阶段网课第一节 重极限、连续、偏导数、全微分第二节、偏导数与全微分的计算第三节、极值与最值,现在分享给大家,希望可以做个参考。
第九章、多元函数微分法及其应用
知识逻辑结构图

考研考试内容
多元函数的概念,二元函数的几何意义,二元函数的极限(极限存在的判定)和连续的概念,有界闭区域上多元连续函数的性质(有界性,最值存在,介值定理),多元函数偏导数和全微分(和全增量的区别),全微分存在的必要条件(连续偏导存在,任意方向的方向导数存在)和充分条件(偏导存在且连续),多元复合函数、隐函数的求导法,二阶偏导数,方向导数和梯度,空间曲线的切线和法平面(参数方程—注意以x,y,z为参数方程组),曲面的切平面和法线,二元函数的二阶泰勒公式,多元函数的极值和条件极值,多元函数的最大值、最小值及其简单应用.
考研考试要求
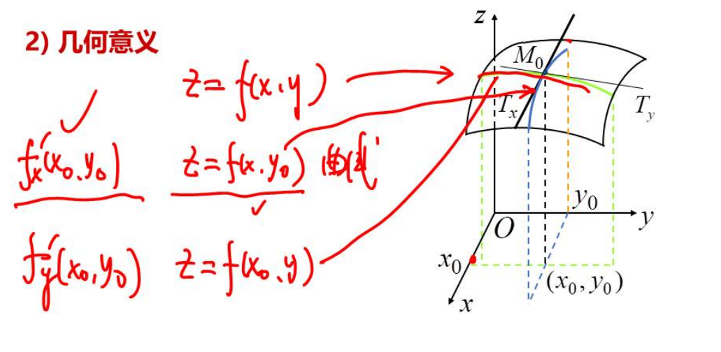
- 1.理解多元函数的概念,理解二元函数的几何意义.
- 2.了解二元函数的极限与连续性的概念,以及有界闭区域上连续函数的性质.
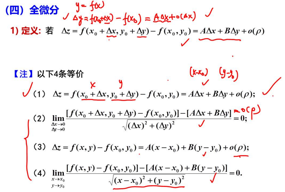
- 3.理解多元函数偏导数和全微分的概念,会求全微分,了解全微分存在的必要条件和充分条件,了解全微分形式的不变性.
- 4.理解方向导数与梯度的概念并掌握其计算方法.
- 5.掌握多元复合函数一阶、二阶偏导数的求法.
- 6.了解隐函数存在定理,会求多元隐函数的偏导数.
- 7.了解空间曲线的切线和法平面及曲面的切平面和法线的概念,会求它们的方程.
- 8.了解二元函数的二阶泰勒公式.
- 9.理解多元函数极值和条件极值的概念,掌握多元函数极值存在的必要条件,了解二元函数极值存在的充分条件,会求二元函数的极值,会用拉格朗日乘数法求条件极值(解方程时要小心哦),会求简单多元函数的最大值和最小值,并会解决一些简单的应用问题.
网课笔记



















































小试身手


2021.4.1
题目




解析







强化阶段网课

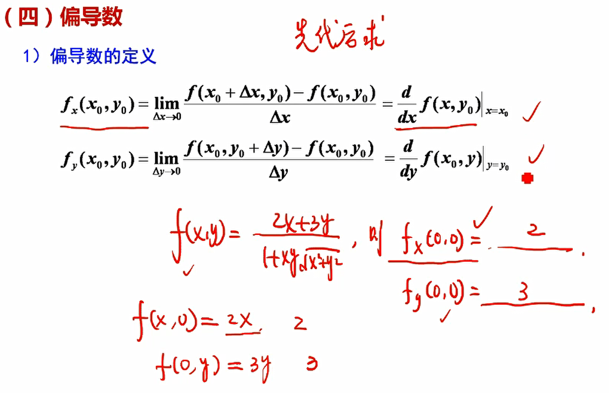
第一节 重极限、连续、偏导数、全微分














题型一、讨论连续性、可导性、可微性










第二节、偏导数与全微分的计算




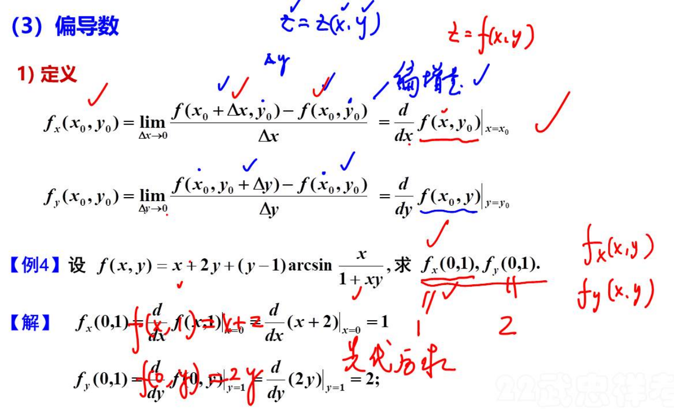
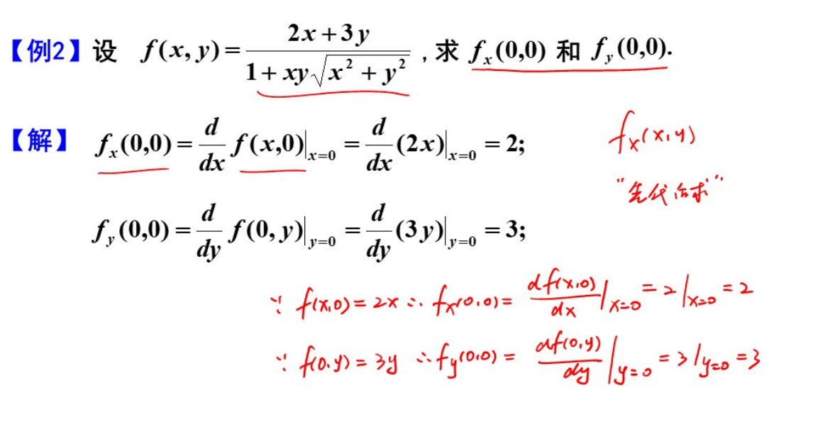
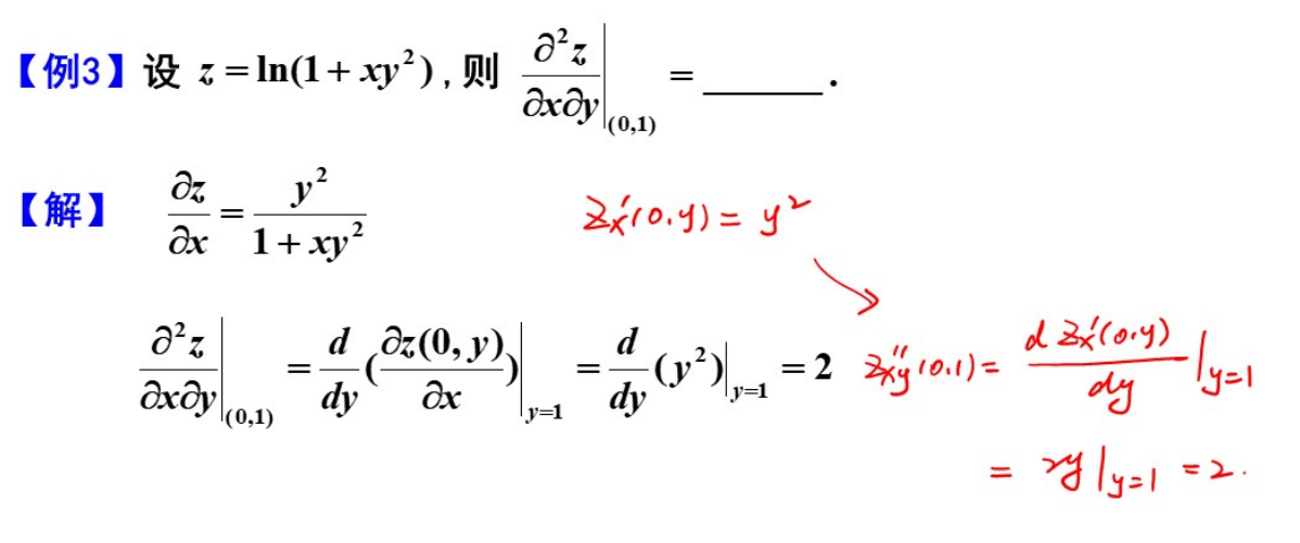
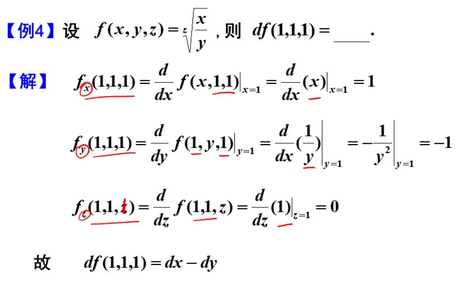
题型一、求一点处的偏导数与全微分




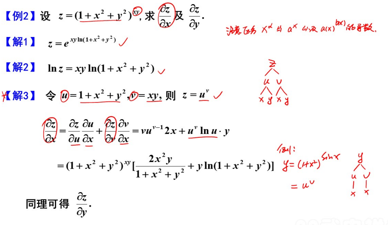
题型二、求已给出具体表达式函数的偏导数与全微分







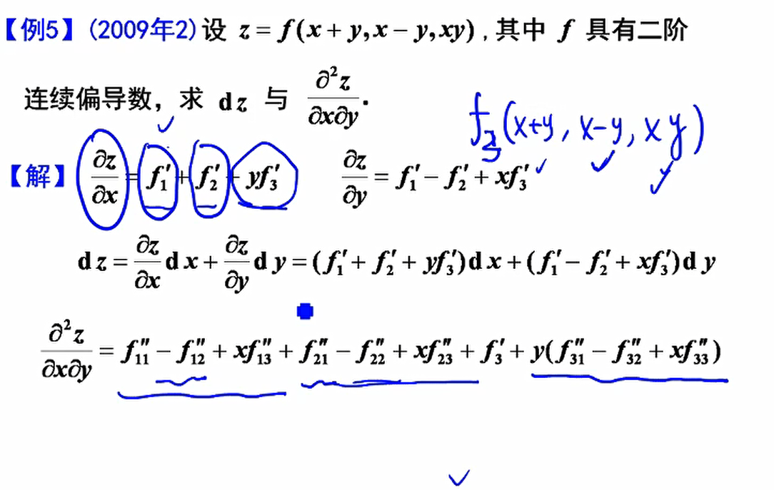
题型三、含有抽象函数的复合函数偏导数与全微分









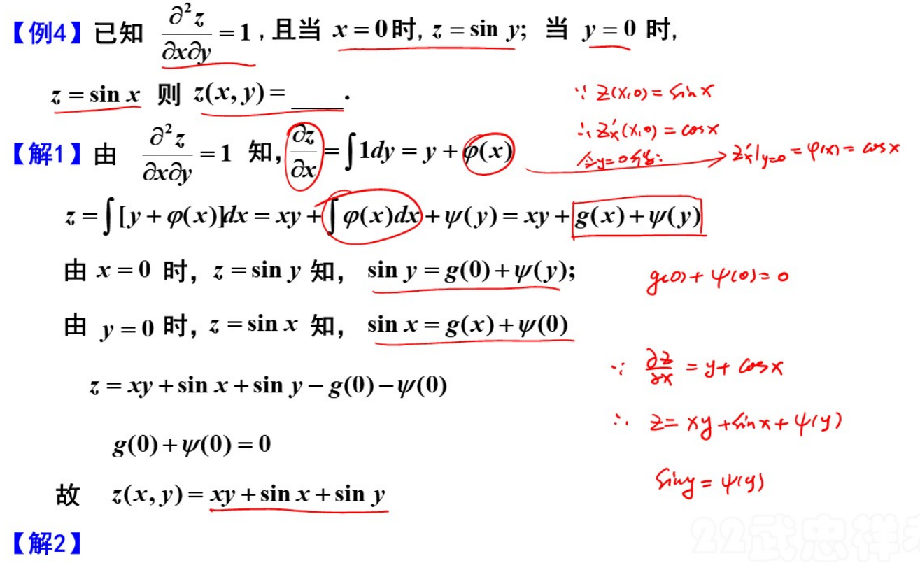
题型四、隐函数的偏导数与全微分






第三节、极值与最值





题型一、求无条件极值







题型二、最大最小值










之后我会持续更新,如果喜欢我的文章,请记得一键三连哦,点赞关注收藏,你的每一个赞每一份关注每一次收藏都将是我前进路上的无限动力 !!!↖(▔▽▔)↗感谢支持!
最后
以上就是安详店员最近收集整理的关于同济大学高等数学下册第九章多元函数微分法及其应用以及每日一题第九章、多元函数微分法及其应用网课笔记小试身手2021.4.1强化阶段网课第一节 重极限、连续、偏导数、全微分第二节、偏导数与全微分的计算第三节、极值与最值的全部内容,更多相关同济大学高等数学下册第九章多元函数微分法及其应用以及每日一题第九章、多元函数微分法及其应用网课笔记小试身手2021.4.1强化阶段网课第一节内容请搜索靠谱客的其他文章。
本图文内容来源于网友提供,作为学习参考使用,或来自网络收集整理,版权属于原作者所有。
发表评论 取消回复