我是靠谱客的博主 神勇太阳,这篇文章主要介绍matlab 多通道余弦调制镜像滤波器组_学习5G调制技术?先从频谱的三维视角,复数信号与IQ调制开始...IQ调制与SSB的关系复数信号关于拼接、分解信号,以及会在频谱上造成如何变化总结,现在分享给大家,希望可以做个参考。

490a977c98008eae0eb482d0b9eac210.png

从3G到今天的5G,数据信道的调制方式越多也相对复杂

15a539175234245419f660f53aad3c44.png

图1 3G-5G的调制演进

这幅图中,BPSKQPSK叫做二进制正交相移键控,是把模拟信号转换成数据值的转换方式之一;QAM叫做正交振幅调制。这些调制方法已经用到了5G数据信道上(PUSCH/PDSCH)了,班长会在后续的文章中与大家分享。

5aabe97e8fd33b33376d04b606ab91ca.png

图2 5G时代来临

今天分享的内容:IQ调制

因为,现代通信中,IQ调制基本上属于是标准配置,因为利用IQ调制可以做出所有的调制方式。所以说掌好IQ调制,后面的其他调制方法与5G学习将不在话下。

233d8a865a95b95c80441f4c28d61846.png

IQ调制

IQ调制其实很简单,直接给出:

a3f15e72df35f7c19194c38284b0bfa0.png

其中I路的信号为x(t)cos,Q路的信号为y(t)sin。

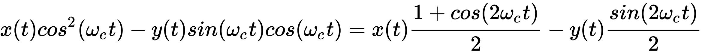
再看下整个玩意是否容易解调恢复出来呢,接收端先乘以余弦cos(wct)

33db0f1db42edb376f42ddbf0ee54899.png

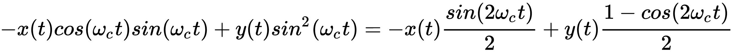
再乘以-sin(wct)

90faa7b24aa2e432ba14b3697777eed8.png

通过低通滤波器,我们都可以把2倍频率滤除,得到x(t)和y(t)。

我们把cos定义为参考相位,如果相对于参考相位,相位为零,这样的载波就是In-phase,就像上文中的coswct;相对于参考相位,相位有-90度的差,这样的载波就是Quadrature phase,就像上文中的sinwct。

要传递的信号分成了两个部分,分别加载在这两个载波的振幅上面。最后,把两个调制信号加起来,就得到了一个新的信号。

与SSB的关系

AM、DSB、SSB这些调制方式,均是在频域内将原始的基带频谱搬移到载波频率处,仅仅是传输效率不同。其中单边带信号SSB,只需要一个子边带便可以实现无损失的传输。

d8bbc377b3598a1e59eb835941efc0b6.png

图3 各种调制信号

作为代价,SSB信号的时域表达式有些复杂

db20a367b2d9fb425601cf9100d1bbaf.png

其中m(t)是调制信号,m~(t)信号是其Hilbert变换。

ed5affc67f26a86757c78e7c9ed91b00.png

图4 SSB信号的产生

其实IQ调制,就是把m(t)和m~(t)信号替换成x(t)和y(t)信号,这样我们就可以同时传输两路信号了!

6ff54170c0eb6a56374b2d1bb11e3070.png

图5 IQ信号产生与接收

复数信号

上面的这个信号,看起来和复数毫无关系!但是我们可以这样谢

93fda435bba3e321e155e85863af1a58.png

这个IQ信号,可以看成是一个基带复数信号(I+jQ),乘上一个复指数信号(复载波),就得到了复调制信号。对这个复调制信号取实数部分,就得到了IQ调制信号了。

在信号处理中,前辈们都说复数信号看起来更加简洁便利。

所以会把传递过来的两路信号,拼接到一起,组成一个复数。但实际的传播过程,只能传输实际物理信号,也需要取其实数部分。

看起来很乱。因为这里涉及到内容很多,如果有基带调制、射频调制的基础,看起来会好一些。后续班长会和大家聊一聊基带、射频,当你积累了一定的知识之后,再回头总结,会别有一番风味。

0e9c3e5b2f30fff576de221ebd30e729.png

图6 学习贵在坚持

关于拼接、分解信号,以及会在频谱上造成如何变化

先看下我们熟悉的cos和sin信号,根据欧拉公式,我们可以得出:

1f1930069718c32ec90237d89877adab.png

我们知道余弦和正弦的傅里叶变换(这个变换理工科应该背下来,这是基础公式,证明过程也不是很难)是冲激函数

328858f0441e09e006172df99d6289f4.png

国内的教材大多在二维图像上观看频谱,这里我们在实数轴、频率轴和虚数轴组成的三维坐标系内,画出频谱:

a1dcb5b17325ed97e266a89fabe4ef3a.png

图7 sin和cos三维频谱图

我们用j乘以sin(2πf0t),然后再与cos(2πf0t)相加,得出的新的频谱恰巧是e^j2πf0t的频谱。看到没,复数信号的频谱就是比实数信号简洁吧,只有正频率。

c04b4b195a1b238e343811bb8cfda804.png

图8 复指数函数的频谱

我们把实数轴定义为同相(In-phase)分量,虚数轴定义为正交(quadrature)分量。这样复平面我们可以叫做IQ平面了。

接下里,我们尝试画出cos(2πf0t+Φ)的频谱,先用和差公式分解

30367444dd33a8d4a7c66a0ce960e888.png

然后取傅里叶变换

2303e417ff35d5e05478a85b58270562.png

图9a,cos(2πf0t+Φ)可以分解成IQ,每路分量别振幅由cosΦ和sinΦ调制。图9b是6个cos(2πf0t+Φ)累加后的频谱波形,图9c是无数个cos(2πf0t+Φ)波形累加(我们知道无数个正弦函数累加,可以得到方波脉冲),图9d是对应的复数信号频谱,只有正频率分量。

4cec160d6eeeaa53a8d3cb9b55131fea.png

图9 实数信号频谱

通过观察上述几幅图,我们直观的感受到:

实数信号通常有正、负频率分量,并且在同相In-phase分量上,正频率分量和负频率分量是关于零频率偶对称的。也就是说,在同相In-phase分量上,正负频率互成镜像。与此相反,在正交分量Quadrature中,正和负频率分量互为相反,也就是说正频率与负频率的相位角互为相反数。但不管是同相分量(也就是Real实数轴),还是正交分量Quadrature(Img虚数轴),我们都可以称之为共轭对称,因为实数的共轭就是其本身。

这里,还有一个重要的性质,就是傅里叶的频移特性:

efdc0186fcbdf090951b094a1bafed0e.png

如下图10所示,当时域信号乘以复指数信号e^2πf0t,频谱向正频率方向搬移f0;当时域信号乘以复指数信号e^-2πf0t,频谱向负频率方向搬移f0;

0281ddabfa6f1ac83d8fe9b584a87154.png

图10 傅里叶频域移动性质

比如对一个带通信号Xbp(f),其频谱为图11第一排所示,正负频率都有频谱分量。其同相频谱为第二排图形,乘以cos,频谱左右搬移。然后经过低通滤波器,滤除倍频部分。

fdca515f3f1b723b36d2a4f27f07832e.png

图11 同相分量

其正交频谱为图12第二排图形,乘以sin,频谱左右搬移。然后经过低通滤波器,滤除倍频部分。

dff8ed26150043cdf56ba1c46a712d83.png

图12 正交分量

如果把同相与正交分量,放到三维坐标系内看,很明显,I同相分量只在实数轴平面,Q正交分量只在虚数轴平面,最后

3bab955cae56b28db9268b8f9ba5d0f9.png

图13 三维分量

总结

调制本身就是要把传递的信号加载到载波上去,无非就是控制载波的振幅、相位、频率。这本来和复数没啥关系,但是当我们想同时传输两路信号之时,I和Q,这样的表达式,其实就是一个复数信号的实数部分。

我们也发现复数信号的频谱更加简单直观。所以在实际的信号处理中,我们为什么会”多此一举“的搞搞复数信号,这就是原因所在!

d68375441e2c8c5d5b158f99f2e6ce37.png

感谢参考文献:Richard Lyons.Quadrature Signals;

相关文章:单边带SSB信号:复数形式的解析信号,如何进行发送与接收?

模拟调制:我们为什么要调制?先从AM幅度调制开始

相干解调:三角函数公式有何用?原来就是通信中的调制解调过程

欢迎您点赞、关注@通信M班长,感谢!

最后

以上就是神勇太阳最近收集整理的关于matlab 多通道余弦调制镜像滤波器组_学习5G调制技术?先从频谱的三维视角,复数信号与IQ调制开始...IQ调制与SSB的关系复数信号关于拼接、分解信号,以及会在频谱上造成如何变化总结的全部内容,更多相关matlab内容请搜索靠谱客的其他文章。

本图文内容来源于网友提供,作为学习参考使用,或来自网络收集整理,版权属于原作者所有。
点赞(182)

评论列表共有 0 条评论

立即
投稿
返回
顶部