keras rnn中常见的rnn layer
1. LSTM
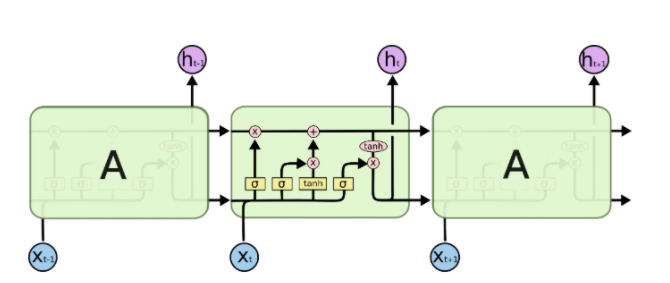
LSTM内部结构如下,

公式为
i
n
p
u
t
g
a
t
e
:
i
t
=
σ
(
W
i
x
t
+
U
i
h
(
t
−
1
)
)
f
o
r
g
e
t
g
a
t
e
:
f
t
=
σ
(
W
f
x
t
+
U
f
h
(
t
−
1
)
)
o
u
t
p
u
t
:
o
t
=
σ
(
W
o
x
t
+
U
o
h
(
t
−
1
)
)
N
e
w
m
e
m
o
r
y
c
e
l
l
:
c
~
t
=
t
a
n
h
(
W
c
x
t
+
U
c
x
t
)
F
i
n
a
l
m
e
m
o
r
y
c
e
l
l
:
c
t
=
f
t
⊙
c
(
t
−
1
)
+
i
t
⊙
c
~
t
h
i
d
d
e
n
s
t
a
t
e
:
h
t
=
o
t
⊙
t
a
n
h
(
c
t
)
input gate: i^t = sigma(W^i x^t +U^i h^{(t-1)}) newline forget gate:f^t = sigma(W^f x^t +U^f h^{(t-1)}) newline output : o^t = sigma(W^o x^t +U^o h^{(t-1)}) newline New memory cell:tilde c^t = tanh(W^c x^t + U^c x^t ) newline Final memory cell:c^t = f^todot c^{(t-1)} + i^t odot tilde c^t newline hidden state: h^t = o^t odot tanh(c^t)
input gate:it=σ(Wixt+Uih(t−1))forget gate:ft=σ(Wfxt+Ufh(t−1))output :ot=σ(Woxt+Uoh(t−1))New memorycell:c~t=tanh(Wcxt+Ucxt)Final memorycell:ct=ft⊙c(t−1)+it⊙c~thidden state:ht=ot⊙tanh(ct)
它的每一个time step都有三个输入与两个输出,
输入为上一个time step的h(t-1),c(t-1),x(t)
输出为h(t),c(t)
下面我们以一个例子来看一下keras lstm的使用
from keras.models import Model
from keras.layers import Input
from keras.layers import LSTM
import numpy as np
# t1 t2 t3 t4
src = np.array([0.1, 0.2, 0.3, 0.4])
# define model
inputs1 = Input(shape=(4,1))
# 1: Positive integer, dimensionality of the output space
lstm1= LSTM(1)(inputs1)
model = Model(inputs=inputs1, outputs=lstm1)
# define input data
data = src.reshape((1,4,1))
print("====================")
print(model.predict(data))
结果如下,
====================
[[0.11041524]] # h(4)
简单说明一下参数:
- LSTM的参数1,是说明W,U向量的维数。根据上面的公式,一维的参数向量最终计算出来的结果就是一个标量。 它也是最后一个time step的输出h(t)
使用return_sequences和return_state参数
使用return_sequences=True
from keras.models import Model
from keras.layers import Input
from keras.layers import LSTM
from keras.layers import GRU
import numpy as np
# t1 t2 t3 t4
src = np.array([0.1, 0.2, 0.3, 0.4])
# define model
inputs1 = Input(shape=(4,1))
lstm1= LSTM(1, return_sequences=True)(inputs1)
model = Model(inputs=inputs1, outputs=lstm1)
data = src.reshape((1,4,1))
print("====================")
print(model.predict(data))
结果如下:
====================
[[[-0.02509235] # the last h(4)
[-0.06933878] # h(3)
[-0.12798117] # h(2)
[-0.19663112]]] # h(1)
它输出的是每个节点的output。下面是官方注释说明。
return_sequences: Boolean. Whether to return the last output
in the output sequence, or the full sequence.
使用return_state=True
from keras.models import Model
from keras.layers import Input
from keras.layers import LSTM
from keras.layers import GRU
import numpy as np
# t1 t2 t3 t4
src = np.array([0.1, 0.2, 0.3, 0.4])
# define model
inputs1 = Input(shape=(4,1))
lstm1= LSTM(1, return_state=True)(inputs1)
model = Model(inputs=inputs1, outputs=lstm1)
data = src.reshape((1,4,1))
print("====================")
print(model.predict(data))
结果
====================
[array([[-0.11774988]], dtype=float32), # the last output h(4)
array([[-0.11774988]], dtype=float32), # the additional information for the last state. h(4)
array([[-0.24601391]], dtype=float32)] # the state for h(4): c(4)
return_state: Boolean. Whether to return the last state in addition to the output.
最后
以上就是直率书包最近收集整理的关于【keras】rnn中的LSTM1. LSTM的全部内容,更多相关【keras】rnn中的LSTM1.内容请搜索靠谱客的其他文章。
发表评论 取消回复