一、梯度消失、梯度爆炸产生的原因
对于1.1 1.2,其实就是矩阵的高次幂导致的。在多层神经网络中,影响因素主要是权值和激活函数的偏导数。
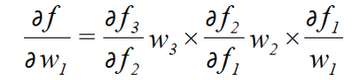
1.1 前馈网络
若要对于w1求梯度,根据链式求导法则,得到的解为:

通常,若使用的激活函数为sigmoid函数,其导数最大为1/4:

这样可以看到,如果我们使用标准化初始w,那么各个层次的相乘都是0-1之间的小数,而激活函数f的导数也是0-1之间的数,其连乘后,结果会变的很小,导致梯度消失。若我们初始化的w是很大的数,w大到乘以激活函数的导数都大于1,那么连乘后,可能会导致求导的结果很大,形成梯度爆炸。
通常我们会将一个完整的句子序列视作一个训练样本,因此总误差即为各时间步(单词)的误差之和。
而RNN还存在一个权值共享的问题,即这几个w都是一个,假设,存在一个反复与w相乘的路径,t步后,得到向量:

若特征值大于1,则会出现梯度爆炸,若特征值小于1,则会出现梯度消失。因此在一定程度上,RNN对比BP更容易出现梯度问题。主要是因为RNN处理时间步长一旦长了,W求导的路径也变的很长,即使RNN深度不大,也会比较深的BP神经网络的链式求导的过程长很大;另外,对于共享权值w,不同的wi相乘也在一定程度上可以避免梯度问题。
二、如何解决梯度消失、梯度爆炸
1、对于RNN,可以通过梯度截断,避免梯度爆炸
首先设置梯度阈值:clip_gradient
在后向传播中求出各参数的梯度,不直接用梯度进行参数更新,求梯度的L2范数
然后比较范数||g||与clip_gradient的大小
如果范数大,求缩放因子clip_gradient/||g||,由缩放因子可以看出梯度越大,缩放因子越小,就可以很好的控制梯度的范围。
最后将梯度乘以缩放因子得到最后需要的梯度。
L1范数是指向量中各个元素绝对值之和
L2范数是指向量各元素的平方和然后求平方根
2、可以通过添加正则项,避免梯度爆炸
正则化是通过对网络权重做正则限制过拟合,仔细看正则项在损失函数的形式:
regularization 公式:
Loss=(y−WTx)2+α∣∣W∣∣2,其中,α 是指正则项系数,因此,如果发生梯度爆炸,权值的范数就会变的非常大,通过正则化项,可以部分限制梯度爆炸的发生。
3、使用LSTM等自循环和门控制机制,避免梯度消失
4、优化激活函数,譬如将sigmold改为relu,避免梯度消失
如果激活函数的导数是1,那么就没有梯度爆炸问题了。可以发现,relu函数的导数在正数部分,是等于1的,因此就可以避免梯度消失的问题。【不好】:但是负数部分的导数等于0,这样意味着,只要在链式法则中某一个
小于0,那么这个神经元的梯度就是0,不会更新。
5、BN层
BN层提出来的本质就是为了解决反向传播中的梯度问题。
假设第一层的输入数据经过第一层的处理之后,得到第二层的输入数据。这时候,第二层的输入数据相对第一层的数据分布,就会发生改变,所以这一个batch,第二层的参数更新是为了拟合第二层的输入数据的那个分布。然而到了下一个batch,因为第一层的参数也改变了,所以第二层的输入数据的分布相比上一个batch,又不太一样了。然后第二层的参数更新方向也会发生改变。层数越多,这样的问题就越明显。
但是为了保证每一层的分布不变的话,那么如果把每一层输出的数据都归一化0均值,1方差不就好了?但是这样就会完全学习不到输入数据的特征了。不管什么数据都是服从标准正太分布,想想也会觉得有点奇怪。所以BN就是增加了两个自适应参数,可以通过训练学习的那种参数。这样把每一层的数据都归一化到β均值,γ标准差的正态分布上。
【将输入分布变成正态分布,是一种去除数据绝对差异,扩大相对差异的一种行为,所以BN层用在分类上效果的好的。
6、残差网络
残差单元可以以跳层连接的形式实现,即将单元的输入直接与单元输出加在一起,然后再激活。因此残差网络可以轻松地用主流的自动微分深度学习框架实现,直接使用BP算法更新参数。错误信号可以不经过任何中间权重矩阵变换直接传播到低层,一定程度上可以缓解梯度弥散问题(即便中间层矩阵权重很小,梯度也基本不会消失)。
三、梯度消失和梯度爆炸哪种经常出现
事实上,梯度消失更容易出现,因为对于激活函数的求导:
可以看到,当w越大,其wx+b很可能变的很大,而根据上面sigmoid函数导数的图像可以看到,wx+b越大,导数的值也会变的很小。因此,若要出现梯度爆炸,其w既要大还要保证激活函数的导数不要太小。
通常,若使用的激活函数为sigmoid函数,其导数:
最后
以上就是粗暴冷风最近收集整理的关于梯度消失、梯度爆炸产生的原因的全部内容,更多相关梯度消失、梯度爆炸产生内容请搜索靠谱客的其他文章。
发表评论 取消回复