继续来复习C++,比较枯燥,但是这是扎实掌握NDK开发的必经之路,不容小觑。
容器:
容器,就是用来存放东西的盒子。
常用的数据结构包括:数组array, 链表list, 树tree, 栈stack, 队列queue, 散列表hash table, 集合set、映射表map 等等。容器便是容纳这些数据结构的。这些数据结构分为序列式与关联式两种,容器也分为序列式容器和关联式容器。
STL 标准模板库,核心包括容器、算法、迭代器。
序列式容器/顺序容器:
元素排列次序与元素无关,由元素添加到容器的顺序决定,其相关的容器有以下几种:
容器 说明 vector 支持快速随机访问 list 支持快速插入、删除 deque 双端队列 允许两端都可以进行入队和出队操作的队列 stack 后进先出LIFO(Last In First Out)堆栈 queue 先进先出FIFO(First Input First Output)队列 priority_queue 有优先级管理的queue
- 向量(vector):连续存储的元素,后进先出。
下面声明一下:
另外还有一些重载的形式,如下:



有了容器之后就可以往里面添加、删除数据了,下面来用一下:

接下来删除一个元素:

那最终容器里还剩哪个元素呢?下面就可以将元素输出出来,如下:

另外有个细节想一下,vector是一个模板类,为啥我们可以用下标的形式来访问它里面的元素,很显然是因为该类重写的下标运算符嘛,源码定义如下:

另外通过下标获取元素还有另外一种方式,如下:

另外还可以通过函数直接获得队首和队尾的两个元素,如下:

如果想清空元素可以用:
还有另外一种清除函数,可以删除某个元素,如下:

那vector目前的容量是多大呢?也有现成的函数,被清掉之后很明显大小为0嘛,试试看:

这里可以说明vector容器其内存占用的空间是只增不减的,clear()释放元素之后,去不能减小vector所占的内存空间。那这不会造成内存的浪费么?尤其对于全局的vector变量,然后方法使用到了该全局变量,如下:

此时全局的容量大小虽说在方法内部被clear()掉了,但大小还是2,那实际如果被调多次那容量不会很可怕,那怎么能达到缩小容量大小的效果呢?这里可以采用swap替换操作,用一个新的临时vector来替换目前的vector,具体做法如下:

其中还可以简写:
注意:建立临时vector temp对象,swap调用之后对象vec占用的空间就等于默认构造的对象的大小,temp就具有vec的大小,而temp随即就会被析构,从而其占用的空间也被释放,所以不会有内存泄漏问题。
那如果要遍历里面的所有元素可以使用迭待器,具体使用如下:
其中在迭待过程中是不能删除元素的,跟java一样的,另外还需要了解到:

- 列表 (list):由节点组成的双向链表,每个结点包含着一个元素。
其操作跟vector基本类似,略过。 - 双端队列(deque):连续存储的指向不同元素的指针所组成的数组。
其操作跟vector基本类似,略过。 - 队列(queue):先进先出的值的排列。
比较简单,下面稍过一下:
- 栈(stack):后进先出的值的排列。
也直接一笔带过:
- 优先队列(priority_queue ):元素的次序是由所存储的数据的某个值排列的一种队列。

也就是说明默认情况下最大的元素在队首,那如果想改变默认的元素排序将最小的放到队首呢,具体就得这么办:

其中:


当然这个less和greater都是一个模板结构体 也可以自定义,就类似于Java中的比较器一样,这样less和greater的含义就发生变化了,如下:
less 让优先队列总是把最大的元素放在队首;
greater 让优先队列总是把最小的元素放在队首;
下面用自定义的类型来自定义一下比较器,如下:
编译运行:

报错了,为啥?因为对于Student类来说不知道如何进行排序,所以此时就得自定义排序规则,这里校仿一下它:

打开看一下它的源码实现:

咱们对Student的自定义排序直接用这个源码,当然由于我们只对Student类型进行排序,所以就用不着泛型了,具体定义如下:

关联式容器:
关联容器和大部分顺序容器操作一致
关联容器中的元素是按关键字来保存和访问的 支持高效的关键字查找与访问
- 集合(set):由节点组成的红黑树,每个节点都包含着一个元素,元素不可重复。
下面来使用一下:
如果要删除元素可以用:

那如何遍历set呢?这里需要特别注意,有别于vector的,我们知道vector的遍历是如下:
那校仿一下来遍历set:

证明set中并没有重写<号运算符,那只能将其换成不等于了,如下:

- 键值对(map):由{键,值}对组成的集合。
基本跟java一样,这里过一遍用法:
其插入元素还可以生成一个键值对对象,如下:

如何通过key来查询元素呢,如下:

删除元素则如下:

最后来遍历一下元素,如下:

- 红黑树
对于二叉树我们都了解的比较多,而红黑树接触稍微少,所以这里来对其进行一个全面的认识,首先先来看一下二叉树:
对于二叉树有一个二分查找法,比如说要从二叉树中找到“2”这个数,其整个查找过程如下:1、查看根节点为10
2、由于2小于10,因此查找左孩子,节点为5
3、同时2小与5,继续查看左边,找到2节点。
也就是说查找最大次数为树的高度,那如果有下面的二叉查找树,插入7、6、5......,如下:
这样几乎成为线性,查找性能大幅下降,那为了解决这种不平衡,红黑树就诞生了。在wikipedia的定义如下:

红黑树(Red Black Tree)又称为 RB树,是一种相对平衡二叉树 ,它有如下特点:
1.节点是红色或黑色。
2.根节点是黑色。
3.每个叶子节点(空节点)都是黑色的。
4 每个红色节点的两个子节点都是黑色。(从每个叶子到根的所有路径上不能有两个连续的红色节点)
5.从任一节点到其每个叶子的所有路径都包含相同数目的黑色节点。
其插入有如下原则:
1. 插入新节点总是红色节点。
2. 如果插入节点的父节点是黑色, 能维持性质。
3. 如果插入节点的父节点是红色, 破坏了性质。插入算法就是通过重新着色或旋转, 来维持性质。
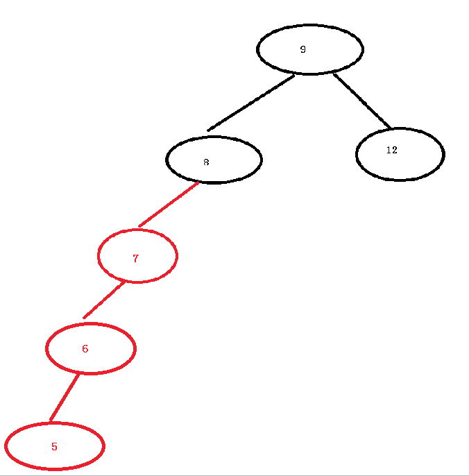
下面画图来理解:首先画一个根结点,它是黑色的:
然后再再插入两个子接点,新节点都是用红色表示,如下:

接下来插入一个“7”,由于比“8”小需要插到它的左边,如下:

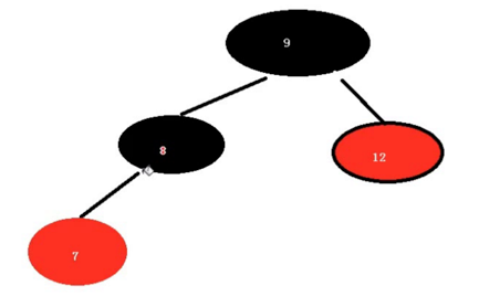
因为规则四是这样描述的:“4 每个红色节点的两个子节点都是黑色。(从每个叶子到根的所有路径上不能有两个连续的红色节点)”,也就是目前“7”、“8”两个都是红色破坏了规则,那么需要根据不同的状况进行不同的策略使其平衡并符合规则,7的父节点8 与叔父节点 12 都是红色,则我们可以将8、12两个重绘为黑色并重绘祖父节点9为红色,所以此时先将“8”涂成黑色:

此时又破坏了第5条规则:“5.从任一节点到其每个叶子的所有路径都包含相同数目的黑色节点。”,因为“9”->"8"都是黑色,而"9"->"12"不全是黑色,也就是两边不统一了,为了解决此破坏,就得将“12”也涂成黑色:

现在满足5个规则了,因此7插入完成。
接下来插入 6:
现在新节点 6 是 父节点 7的左节点,而6的叔父节点 缺少,父节点 7 又是祖父节点8的左子节点 ,这种情形下,我们进行针对6节点的祖父节点8的一次右旋转,其右旋转是指:顺时针旋转红黑树的两个节点,使得父节点被自己的左孩子取代,而自己成为自己的右孩子。如下:

此时还是破坏规则4,因为“6”和"7"都是红色,此时再切换 7 和 8 的颜色,如下:

现在满足5个规则了,因此6插入完成。
再插入5:
5和6都是红色,将 父节点 6 和叔父节点 8 绘为黑色:

然后再将祖父7设为红色,最终如下:

【提示】:关于红黑树什么时候要右旋,什么时候要左旋等一些处理,可以参考维基百科,里面列出了详细的各种情形处理,对着进行处理就成了,如下:
类型转换:
除了能使用c语言的强制类型转换外,还有:转换操作符 (新式转换)
const_cast:
修改类型的const或volatile属性。
static_cast:
- 基础类型之间互转。如:float转成int、int转成unsigned int等
- 指针与void之间互转。如:float*转成void*、Bean*转成void*、函数指针转成void*等
- 子类指针/引用与 父类指针/引用 转换。
举个例子:
但是如果将父类的方法声明为虚方法,结果就不一样了,如下:
dynamic_cast:
主要将基类指针、引用 安全地转为派生类,在运行期对可疑的转型操作进行安全检查,仅对多态有效。
还是拿static_cast的程序进行举例,咱们先将父类的虚函数去掉再做实现:
然后编写动态转换代码:

错误提示为:

Parent不是多态,也就是需要将它声明为虚函数才行,所以增加virtual关键字:

因为转换失败了,这时指针会为null,所以完善的代码应该加上判断:

接下来修改一下程序:

那如果是子类动态转换成父类呢?
reinterpret_cast:
对指针、引用进行原始转换,什么意思,下面来看代码:

char*与int转换:

异常:
基本上跟java类似,贴一个范例:

另外,相比java,c++中抛异常时可以随便抛一个对象,不一定是非要继承至exception类的,如下:

文件与流操作【基本C方式使用得多一些】:
C 语言的文件读写操作
头文件:stdio.h
函数原型:FILE * fopen(const char * path, const char * mode);
path: 操作的文件路径
mode:模式
其中的mode有如下这些:
| 模式 | 描述 |
|---|---|
| r | 打开一个已有的文本文件,允许读取文件。 |
| w | 打开一个文本文件,允许写入文件。如果文件不存在,则会创建一个新文件。在这里,您的程序会从文件的开头写入内容。如果文件存在,则该会被截断为零长度,重新写入。 |
| a | 打开一个文本文件,以追加模式写入文件。如果文件不存在,则会创建一个新文件。在这里,您的程序会在已有的文件内容中追加内容。 |
| r+ | 打开一个文本文件,允许读写文件。 |
| w+ | 打开一个文本文件,允许读写文件。如果文件已存在,则文件会被截断为零长度,如果文件不存在,则会创建一个新文件。 |
| a+ | 打开一个文本文件,允许读写文件。如果文件不存在,则会创建一个新文件。读取会从文件的开头开始,写入则只能是追加模式。 |
下面先来写一个文件:

打开文件看一下内容:

另外还可以以格式化的文本方式来写入,如下:


接下来读取文件:

这是因为当读取遇到空格字符就会终止,所以需要遍历读取,如下:

另外还有一个直接读最大字节的API,对于上面的程序可以改为它:

还有其它的一个比较方便的API,这里就不一一去实验了,到时用到再回来查,下面把范例贴一下:

C++ 文件读写操作
<iostream> 和 <fstream>
其涉及到的方法有:
| 数据类型 | 描述 |
|---|---|
| ofstream | 输出文件流,创建文件并向文件写入信息。 |
| ifstream | 输入文件流,从文件读取信息。 |
| fstream | 文件流,且同时具有 ofstream 和 ifstream 两种功能。 |
下面举个例子来简单的使用一下:

编译运行:

转载于:https://www.cnblogs.com/webor2006/p/9781297.html
最后
以上就是清秀睫毛最近收集整理的关于ndk学习之c++语言基础复习----C++容器、类型转换、异常与文件流操作的全部内容,更多相关ndk学习之c++语言基础复习----C++容器、类型转换、异常与文件流操作内容请搜索靠谱客的其他文章。
发表评论 取消回复