参考资料:http://www.onmyphd.com/?p=quantization.noise.snr
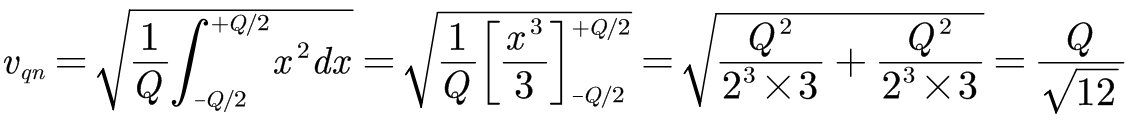
在ADC当中,众多模拟量会被转化成同一种数字量,而对应同一个数字量的模拟量之间的最大差值被称为Q,并且Q=LSB。模拟输入和数字输出之间的差值被称为量化误差(quantization error),量化误差的范围是±Q/2。

假设量化误差在±Q/2的范围内平均分布,则通过均方差计算出的量化噪声(quantization noise)为:

最后
以上就是如意战斗机最近收集整理的关于量化噪声(Quantization Noise)的全部内容,更多相关量化噪声(Quantization内容请搜索靠谱客的其他文章。
本图文内容来源于网友提供,作为学习参考使用,或来自网络收集整理,版权属于原作者所有。
发表评论 取消回复