目录
一、Radix-4 Booth乘法器原理
二、Verilog设计
一、Radix-4 Booth乘法器原理
上文中介绍了基2 Booth乘法器,本文继续介绍基4 Booth乘法器。
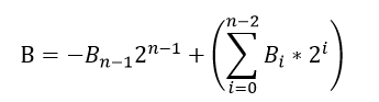
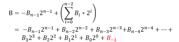
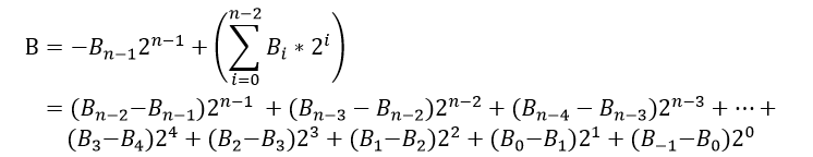
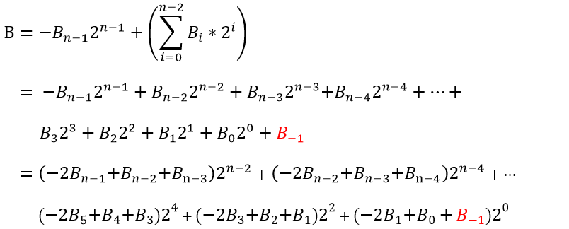
对于N比特数B来说:

N比特数B,将其展开,其中B-1=0:

基2 Booth表示为:

其基系数为:
![]()
基4 Booth乘法器的基系数为:
![]()
所以,上式B可以重写为如下式(位宽为偶数):

将A与B相乘,则:

以下是基4 Booth编码表,其中A为被乘数,B为乘数。

以下为6比特数9的Radix-2 Booth和Radix-4 Booth编码例子:

从基2看9:
9 = 0*2^4 + 1*2^4 + (-1)*2^3 + 0*2^2 + 1*2^1 + (-1)*2^0
从基4看9:
9 = 1*4^2 + (-2)*4^1 + 1*4^0
其阵列表示如下:

可以看出,6比特乘数的基2 Booth算法部分累积和个数为6,而基4的部分累积和数为3。
相比于基2 Booth编码,基4 Booth编码将使得乘法累积的部分和数减少一半,其基系数只涉及到移位和补码计算。对于二进制码为1010…1010的乘数(1与0交替),如果采用基2 Booth编码,则部分和累积的输入有几乎一半为被乘数的补码,所以,相比于普通的阵列乘法器,基2 Booth编码的乘法器性能不升反降,基4 Booth编码可以避免以上问题。
二、Verilog设计
声明:没有PPA驱动的功能性Verilog设计,仅供娱乐
本文中将基于Radix-4 Booth编码、Wallace树、CSA以及行波进位加法器设计一个16比特位宽的有符号数并行阵列乘法器,仅供参考。
几个如下要点:
(1)Wallace树,请参考往期文章《图解Wallace树》;
(2)CSA,请参考往期文章《进位保存加法器原理与设计》;
(3)行波进位加法器,请参考往期文章《半加器、全加器和行波进位加法器原理与设计》;
(4)Radix-4 Booth编码器;
(5)部分和生成。
前3点在往期的文章中已有介绍并设计,所以我们看第(4)点,即一个基4 Booth编码器,根据输入3比特生成0,+1,+2,-2,-1等系数。

根据以上Booth编码表可以将系数生成归纳如下:
假设输入码字为B[2:0]
1.B[2]决定了输出系数的符号位,定义为neg;
2.当输入码字为011和100时,输出绝对值为2,定义为two;
3.当输入码字为000和111时,输出绝对值为0,定义为zero;
4.除了以上码字,输出绝对值为1,定义为one。
第(5)点生成部分和,根据编码器输出,与被乘数相乘,生成部分和:、
1.如果编码器zero为1,则输出部分和为0;
2.如果编码器one为1,则输出部分和为被乘数;
3.如果编码器two为1,则输出部分和为被乘数左移1位;
4.如果是负数,则生成补码输出。
16比特乘法器,需要8个Booth编码器Booth Enc和8个生成部分和Gen Prod模块。根据Wallace树结构、CSA和行波进位加法器RCA,设计框图如下:
在追求面积、功耗和速度的要求下,该设计有以下几个优化空间:
(1)部分和生成
在部分和负数生成中,对于像 “-1*A”和“-2*A”等,进行了取反加一,增大的关键路径延时,且耗费了8个16比特加法器,后期会有改进。
(2)符号位扩展
在部分和计算中具有大量的符号位扩展,且在求和过程中翻转频繁,故而极大耗费面积和功耗,后期文章会提到;
(3)Wallace树结构
在Wallace树种求解sum和carry时,简单地进行移位使得3:2 CSA中全加器的位宽为32位,徒增面积和功耗;另外在结构上,因为CSA层次有4级,大概率效率不高,通常还会结合4:2 CSA,后期会提到;
(4)最后一级加法器
最后一级32比特加法器负责进位链传播,此处是速度最慢的行波进位加法器,可以根据需求进行替换。
(5)流水线技术
使用流水线技术提升乘法器的性能,
根据以上要点设计的基4 Booth乘法器,源码参考公众号回复“011”。
谢谢您的阅读!
原创不易,如果对您有帮助,记得点赞关注哦。欢迎批评指正,谢谢鼓励!
一起“纸上谈芯”,共同学习:

最后
以上就是要减肥钢笔最近收集整理的关于【HDL系列】乘法器(6)——Radix-4 Booth乘法器一、Radix-4 Booth乘法器原理二、Verilog设计的全部内容,更多相关【HDL系列】乘法器(6)——Radix-4内容请搜索靠谱客的其他文章。
发表评论 取消回复