在LTE协议TS 136 212中详细介绍了LTE里面Turbo编码的算法。但协议看起来实在是太晦涩难懂,本文档通俗地介绍LTE中Turbo编码的原理,并用C语言编程实现了一个LTE Turbo编码器。
1. Turbo编码器
LTE系统采用的1/3码率的Turbo编码器,即1个输入比特会对应3个输出比特,即Xk,Zk,Z’k。其中,Xk叫做系统比特,Xk与输入的比特相等。Zk和Z’k叫做冗余比特,Zk对应编码器1的输出,Z’k对应编码器2的输出,冗余比特用来增强传输的可靠性。
图中每个编码器的输入端都有一个单刀双掷开关,当正常编码时,开关与输入连接。当没有输入,正在添加尾比特时,开关与输入断开。
下面以编码器1来介绍Turbo编码的原理。
首先,三个寄存器(D1,D2,D3)初始化为0。输入比特Ck=1,此时有Xk=1。输入第一个寄存器的值为D2 +D3 +Ck。第一个编码器输出的值为 D1的输入值+D1的输出值+D3的输出值,即Zk=D2 +D3 +Ck + D1+D3。
此次编码完成后,寄存器的值往后推。即D3的值更新为D2的输出,D2的值更新为D1的输出,D1的值更新为D1的输入值,即D2 +D3 +Ck。
编码器2的原理与编码器1类似,输入比特进入编码器2前需要先进行交织,即把位置打乱。交织具体的原理将在下一章介绍。

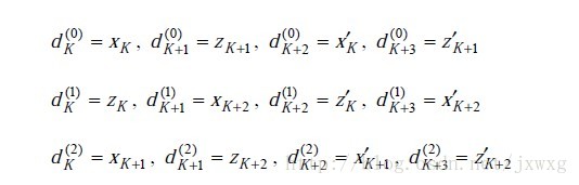
最后,当所有的输入比特都编码完成时,需要把开关与输入断开连接以对编码后的比特添加尾比特。尾比特是为了让编码器回到初始状态,避免了两个码字之间的关联性。协议定义了一共添加12bit的尾比特,12比特具体的值如下图所示。下图应该按照从上到下,从左往右的顺序看,即先看d(k),接着看d(k+1),d(k+2), d(k+3)。Xk,Zk,Z’k与上述定义相同,而X’k对应图中最底下的虚线。
如果系统输入c0,c1,则编码后会输出c0,z(0),z’(0),c1, z(1),z’(1),d(k)(0),d(k)(1), d(k)(2), d(k+1)(0),d(k+1)(1), d(k+1)(2), d(k+2)(0),d(k+2)(1), d(k+2)(2)。
2. Turbo交织
如果输入的比特为c0,c1……ci……c(K-1),输出的比特为c’0,c’1……c’j……c’(K-1),则j=(f1*i + f2*i*i) mod K。
f1,f2和K的定义在LTE协议里面有一个对应的表格,一共188组。编码的时候根据表格找到大于编码输入长度的最小的K值。

3. C编程实现Turbo编码器
如果看了上述介绍还是不理解LTE Turbo编码的原理,那么就直接show you the code。对照C语言实现的Turbo编码器更容易理解Turbo编码的原理。
#include <stdio.h>
#include <stdint.h>
#include <stdlib.h>
#include <string.h>
#define NOF_REGS 3
#define NOF_TAILINGS 12
#define MAX_CB_SIZE 188
#define MAX_BIT_LENGTH 6144
const uint32_t tc_cb_sizes[MAX_CB_SIZE] = {
40, 48, 56, 64, 72, 80, 88, 96, 104, 112, 120,
128, 136, 144, 152, 160, 168, 176, 184, 192, 200, 208, 216, 224, 232,
240, 248, 256, 264, 272, 280, 288, 296, 304, 312, 320, 328, 336, 344,
352, 360, 368, 376, 384, 392, 400, 408, 416, 424, 432, 440, 448, 456,
464, 472, 480, 488, 496, 504, 512, 528, 544, 560, 576, 592, 608, 624,
640, 656, 672, 688, 704, 720, 736, 752, 768, 784, 800, 816, 832, 848,
864, 880, 896, 912, 928, 944, 960, 976, 992, 1008, 1024, 1056, 1088,
1120, 1152, 1184, 1216, 1248, 1280, 1312, 1344, 1376, 1408, 1440, 1472,
1504, 1536, 1568, 1600, 1632, 1664, 1696, 1728, 1760, 1792, 1824, 1856,
1888, 1920, 1952, 1984, 2016, 2048, 2112, 2176, 2240, 2304, 2368, 2432,
2496, 2560, 2624, 2688, 2752, 2816, 2880, 2944, 3008, 3072, 3136, 3200,
3264, 3328, 3392, 3456, 3520, 3584, 3648, 3712, 3776, 3840, 3904, 3968,
4032, 4096, 4160, 4224, 4288, 4352, 4416, 4480, 4544, 4608, 4672, 4736,
4800, 4864, 4928, 4992, 5056, 5120, 5184, 5248, 5312, 5376, 5440, 5504,
5568, 5632, 5696, 5760, 5824, 5888, 5952, 6016, 6080, 6144 };
const uint32_t f1_list[MAX_CB_SIZE] = {
3, 7, 19, 7, 7, 11, 5, 11, 7, 41, 103,
15, 9, 17, 9, 21, 101, 21, 57, 23, 13, 27, 11, 27, 85, 29, 33, 15, 17, 33,
103, 19, 19, 37, 19, 21, 21, 115, 193, 21, 133, 81, 45, 23, 243, 151, 155,
25, 51, 47, 91, 29, 29, 247, 29, 89, 91, 157, 55, 31, 17, 35, 227, 65, 19,
37, 41, 39, 185, 43, 21, 155, 79, 139, 23, 217, 25, 17, 127, 25, 239, 17,
137, 215, 29, 15, 147, 29, 59, 65, 55, 31, 17, 171, 67, 35, 19, 39, 19, 199,
21, 211, 21, 43, 149, 45, 49, 71, 13, 17, 25, 183, 55, 127, 27, 29, 29, 57,
45, 31, 59, 185, 113, 31, 17, 171, 209, 253, 367, 265, 181, 39, 27, 127,
143, 43, 29, 45, 157, 47, 13, 111, 443, 51, 51, 451, 257, 57, 313, 271, 179,
331, 363, 375, 127, 31, 33, 43, 33, 477, 35, 233, 357, 337, 37, 71, 71, 37,
39, 127, 39, 39, 31, 113, 41, 251, 43, 21, 43, 45, 45, 161, 89, 323, 47, 23,
47, 263 };
const uint32_t f2_list[MAX_CB_SIZE] = {
10, 12, 42, 16, 18, 20, 22, 24, 26, 84,
90, 32, 34, 108, 38, 120, 84, 44, 46, 48, 50, 52, 36, 56, 58, 60, 62, 32,
198, 68, 210, 36, 74, 76, 78, 120, 82, 84, 86, 44, 90, 46, 94, 48, 98, 40,
102, 52, 106, 72, 110, 168, 114, 58, 118, 180, 122, 62, 84, 64, 66, 68, 420,
96, 74, 76, 234, 80, 82, 252, 86, 44, 120, 92, 94, 48, 98, 80, 102, 52, 106,
48, 110, 112, 114, 58, 118, 60, 122, 124, 84, 64, 66, 204, 140, 72, 74, 76,
78, 240, 82, 252, 86, 88, 60, 92, 846, 48, 28, 80, 102, 104, 954, 96, 110,
112, 114, 116, 354, 120, 610, 124, 420, 64, 66, 136, 420, 216, 444, 456,
468, 80, 164, 504, 172, 88, 300, 92, 188, 96, 28, 240, 204, 104, 212, 192,
220, 336, 228, 232, 236, 120, 244, 248, 168, 64, 130, 264, 134, 408, 138,
280, 142, 480, 146, 444, 120, 152, 462, 234, 158, 80, 96, 902, 166, 336,
170, 86, 174, 176, 178, 120, 182, 184, 186, 94, 190, 480 };
int search_segment_index(int input_length)
{
int j= 0;
while( j < MAX_CB_SIZE && tc_cb_sizes[j] < input_length)
j++;
if(j == MAX_CB_SIZE)
return -1;
else
return j;
}
int turbo_interleaver(uint8_t *interleaver, int input_length)
{
if(input_length > MAX_BIT_LENGTH)
return -1;
// Find code block index
int segment_index = search_segment_index(input_length);
if(segment_index == -1)
return -1;
uint32_t f1 = f1_list[segment_index];
uint32_t f2 = f2_list[segment_index];
uint32_t i = 0, j;
for(i = 0; i < input_length; i++)
{
j = (f1 * i + f2 * i * i) % input_length;
interleaver[i] = j;
}
for(i = input_length; i < MAX_BIT_LENGTH; i++)
interleaver[i] = 0;
return 0;
}
void lte_turbo(uint8_t *input, uint8_t* output, uint32_t input_length)
{
// Initialization of turbo registers
uint8_t reg1_1, reg1_2, reg1_3, reg2_1, reg2_2, reg2_3;
reg1_1 = 0;
reg1_2 = 0;
reg1_3 = 0;
reg2_1 = 0;
reg2_2 = 0;
reg2_3 = 0;
// Initialization of turbo interleaver
uint8_t* input_interleaver = malloc(MAX_BIT_LENGTH * sizeof(uint8_t));
if (turbo_interleaver(input_interleaver, input_length) < 0 )
{
printf("Initialization of turbo interleaver ERROR!n");
exit(-1);
}
uint32_t k = 0, i, j;
uint8_t bit, in, out;
for(i = 0; i < input_length; i++)
{
bit = input[i];
// X[k]
output[k] = input[i];
k++;
in = bit ^ (reg1_3 ^ reg1_2);
out = reg1_3 ^ (reg1_1 ^ in);
reg1_3 = reg1_2;
reg1_2 = reg1_1;
reg1_1 = in;
// Z[k]
output[k] = out;
k++;
bit = input[input_interleaver[i]];
in = bit ^ (reg2_3 ^ reg2_2);
out = reg2_3 ^ (reg2_1 ^ in);
reg2_3 = reg2_2;
reg2_2 = reg2_1;
reg2_1 = in;
// Z*[k]
output[k] = out;
k++;
}
k = 3 * input_length;
// Tailing coder 1
for(j = 0; j< NOF_REGS; j++)
{
bit = reg1_3 ^ reg1_2;
output[k] = bit;
k++;
in = bit ^ (reg1_3 ^ reg1_2);
out = reg1_3 ^ (reg1_1 ^ in);
reg1_3 = reg1_2;
reg1_2 = reg1_1;
reg1_1 = in;
output[k] = out;
k++;
}
// Tailing coder 2
for(j = 0; j < NOF_REGS; j++)
{
bit = reg2_3 ^ reg2_2;
output[k] = bit;
k++;
in = bit ^ (reg2_3 ^ reg2_2);
out = reg2_3 ^ (reg2_1 ^ in);
reg2_3 = reg2_2;
reg2_2 = reg2_1;
reg2_1 = in;
output[k] = out;
k++;
}
free(input_interleaver);
}
int main(int argc, char* argv[])
{
uint32_t input_length = 100;
if(argc == 2)
input_length = atoi(argv[1]);
printf("Input bits length %d.n", input_length);
uint32_t output_length = input_length * 3 + NOF_TAILINGS;
uint8_t* input = malloc(input_length * sizeof(uint8_t));
uint8_t* output = malloc(output_length * sizeof(uint8_t));
srand(time(NULL));
int i;
for(i = 0; i < input_length; i++)
input[i] = rand() % 2;
puts("Input Bits :");
for(i = 0; i < input_length; i++)
{
printf("%d ", input[i]);
if( (i+1) % 20 == 0)
printf("n");
}
printf("n");
lte_turbo(input, output, input_length);
puts("Output Bits :");
for(i = 0; i < output_length; i++)
{
printf("%d ", output[i]);
if( (i+1) % 20 == 0)
printf("n");
}
printf("n");
free(input);
free(output);
return 0;
}
编译
gcc turbo.c -o turbo
运行
./turbo 200
参数为输入Bit长度。LTE规定当输入bit长度大于6144时,需要对bit进行分割,本代码没有实现这部分功能。
输出示例
Input bits length 160.
Input Bits :
0 1 1 1 0 0 1 0 1 1 0 0 1 1 0 1 1 1 0 0
1 1 1 1 0 1 1 1 1 1 1 1 0 0 0 0 0 0 0 1
1 0 1 0 0 0 0 1 1 0 1 0 0 0 0 0 1 1 1 0
0 0 1 1 0 0 1 0 0 0 1 1 0 1 0 0 1 0 1 0
0 0 0 0 0 0 1 1 0 0 1 0 1 1 1 1 1 1 0 1
1 1 0 1 0 0 0 1 0 1 1 1 0 0 1 0 0 0 0 0
1 1 1 0 0 0 1 1 1 1 0 0 1 1 0 1 1 0 1 0
1 0 1 1 0 0 0 1 1 0 1 0 1 0 0 0 1 1 1 0
Output Bits :
0 0 0 1 1 0 1 0 1 1 1 0 0 1 0 0 0 0 1 0
1 0 0 1 1 1 1 1 1 1 0 0 1 0 1 0 1 1 0 1
1 1 0 1 0 1 0 0 1 1 1 1 1 0 0 1 1 0 1 1
1 0 1 1 0 0 1 1 1 1 1 1 0 1 1 1 0 1 1 1
0 1 1 1 1 0 0 1 1 1 1 0 1 1 0 0 0 1 0 0
1 1 0 0 1 0 0 0 0 1 0 0 0 0 0 1 1 1 0 1
1 1 1 0 0 1 1 1 0 0 1 1 0 1 1 0 1 0 0 0
0 1 1 0 1 1 1 0 0 1 1 0 0 0 1 1 0 0 1 0
0 0 0 1 1 0 0 1 1 0 0 1 1 0 1 0 1 0 1 1
0 0 0 0 0 0 1 0 0 1 0 1 0 1 1 0 1 1 1 1
1 0 1 1 0 0 1 0 1 1 1 0 0 1 1 0 0 0 0 1
1 1 0 1 0 0 1 0 1 0 1 0 1 1 1 0 0 0 1 0
0 1 0 0 0 0 0 0 0 0 1 0 0 0 1 0 1 1 1 0
1 1 1 0 0 0 1 0 0 0 1 1 1 0 1 1 1 0 1 1
1 0 1 1 1 1 0 0 1 1 0 1 0 0 0 1 1 1 1 1
1 0 1 1 0 1 0 1 1 1 0 0 0 1 1 0 1 0 0 0
0 1 1 1 0 0 0 1 0 0 1 0 0 1 0 0 0 0 1 0
1 0 1 0 0 0 0 1 0 1 1 0 1 0 0 1 0 0 0 0
1 1 0 1 1 1 1 1 1 0 0 1 0 1 0 0 0 1 1 0
0 1 1 1 1 0 0 1 0 0 0 1 0 0 1 1 1 1 0 1
0 0 0 1 0 1 1 0 1 0 1 0 1 1 1 1 1 0 1 1
1 1 0 0 0 0 1 1 0 1 0 0 0 0 1 0 0 1 0 1
0 1 1 1 1 1 0 0 1 1 1 0 1 0 0 0 1 0 1 0
0 0 0 0 1 0 1 0 1 1 0 1 1 0 1 0 0 0 0 1
0 0 0 1 1 1 1 0 1 1 0 0
4.备注
上述代码效率较低,如果要编写更高效的Turbo编码器,可以使用查表的算法或者使用SSE、AVX等指令集。
上述代码参考了srsLTE的Turbo编码原理。
最后
以上就是自觉仙人掌最近收集整理的关于C/C++ 编程实现 LTE Turbo编码1. Turbo编码器2. Turbo交织3. C编程实现Turbo编码器4.备注的全部内容,更多相关C/C++内容请搜索靠谱客的其他文章。
发表评论 取消回复