说明
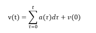
在时域中,对于离散点的积分即求和:

假设采样时间间隔为
d
T
dT
dT
积 分 值 + = 采 样 值 ∗ d T 积分值 += 采样值 * dT 积分值+=采样值∗dT
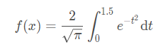
应用案例

(1)MATLAB中integral函数求解
f = @(x) 2/sqrt(pi)*exp(-x.^2);
y = integral(f,0,1.5) % //数值求解

(2)自己写的离散积分法(简单线性)
t=0:0.0001:1.5;
sum=0
for i=1:length(t)
sum = sum + 2/sqrt(pi)*exp(-t(i).^2) * 0.0001;
end

最后
以上就是帅气豆芽最近收集整理的关于时域积分的离散化说明应用案例的全部内容,更多相关时域积分内容请搜索靠谱客的其他文章。
本图文内容来源于网友提供,作为学习参考使用,或来自网络收集整理,版权属于原作者所有。
发表评论 取消回复