博客已迁移至自建网站,此博客已废弃
请移步至:https://blog.ours1984.top
欢迎大家访问。
照明模型
光通量
指人眼所能感觉到的辐射功率,它等于单位时间内某一波段的辐射能量和该波段的相对视见率的乘积。以符号Φ表示,单位是lm(流明),1流明 = 0.00146 瓦 。常见光源光通量如下
| 光源 | 光通量 |
|---|---|
| 太阳 | 3.566×1028 lm |
| 烛光 | 12.56 lm |
| 白炽灯/卤钨灯 | 12~24 lm/W |
| 荧光灯和气体放电灯 | 50~120 lm/W |
| LED灯 | 110 lm/W |
辐照度
指投射到一平表面上的辐射通量密度。指到达一表平面上,单位时间,单位面积上的辐射能。以符号E表示,常用单位是lux(勒克斯),1 lux = 1 lm / m2 。常见照明环境的辐照度如下
| 场景 | 照度 |
|---|---|
| 黑夜 | 0.001—0.02 |
| 阴天室内 | 5~50 |
| 晴天阳光直射 | 100000 |
| 适合阅读 | 300~750 |
| 家用摄像机标准照度 | 1400 |
常见光源

背光源–透视轮廓
特点:发光面是一个漫射面,均匀性好。可用于镜面反射材料,如晶片或玻璃基底上的伤痕检测;
LCD检测;微小电子元件尺寸、形状,靶标测试

漫射光源–表面照明
特点:在一定工作距离下,光束集中、亮度高、均匀性好、照射面积相对较小。常用于液晶校正、
塑胶容器检查、工件螺孔定位、标签检查、管脚检查、集成电路印字检查等

颜色光源
特点:如果希望更加鲜明地突出某些颜色,则选择色环上想对应的互补颜色光源照明,这样可以明
显地提高图像的对比度

颜色模型
人眼对不同波长和频率的电磁波的颜色反应:

三基色原理
- 大多数彩色可由适当选择的三种基色混合产生,这就是三基色原理 (Maxwell, 1855)
- 不同的基色选择构成不同的色彩坐标。光的三原色为RGB,颜料三原色为CMYK

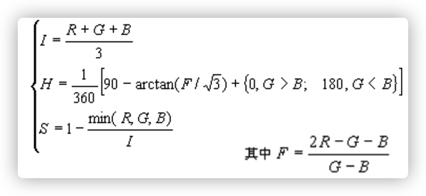
HSI颜色模型

- H表示色度,色度分布范围如下表。OpenCV中H的取值范围是0-180
| 角度 | 灰度值 | 颜色 |
|---|---|---|
| 0 | 0 | 红色 |
| 60 | 30 | 黄色 |
| 120 | 60 | 绿色 |
| 180 | 90 | 青色 |
| 240 | 120 | 蓝色 |
| 300 | 150 | 品红 |
- S表示颜色接近光谱色的程度。
- 每一种颜色,可以看成是某种光谱色与白色混合的结果。
- 其中光谱色所占的比例愈大,颜色接近光谱色的程度就愈高,颜色的饱和度也就愈高。
- 饱和度高,颜色则深而艳。光谱色的白光成分为0,饱和度达到最高。
- 通常取值范围为0%~100%,值越大,颜色越饱和。
- I对应成像亮度和图像灰度,是颜色的明亮程度
- 对于光源色,明度值与发光体的光亮度有关;
- 对于物体色,此值和物体的透射比或反射比有关。
- 通常取值范围为0%(黑)到100%(白)
- 与RGB换算关系

图像采集与传输
CDC传感器

彩色传感器
- 通过在感光面上附加一层三原色的颜色过滤,使得每个像素可以定向检测三原色分量大小
- 对于每一个像素而言,它只能检测到某一种原色的大小,其他两种原色由附近像素点线性插值得来

gamma校正
- 由于早期CRT显示器的输出亮度和输入电压存在非线性关系,具体就是近似2.2次幂的关系,导致显示器的亮度要比计算机上存储的亮度要低,所以图像显示之前需要做1/2.2次幂的校正,这样输出来的颜色和实际颜色一样
- 现在的LCD/LED设备已经能够正确地显示图像了,但人们还是要做gamma校正,这是由于人眼对暗亮度比较敏感,对亮的亮度不太敏感,基于这一事实,使用gamma校正可以拉伸暗部的精度,人们可以感受到更多暗层级,对应地损失了亮层级,但由于不太敏感,变相提高了存储精度
图像传输
- 模拟视频传输:采用同轴电缆等方式,将亮度和色度分离,在不同频带调制后在同一
信号线上传输。常用的为同轴电缆,同轴电缆的中心导线用于传输信号,外层是金属
屏蔽网 - RGB方式:显示器,投影
- 数字传输(长距离):光纤高清信号,网线
- 数字传输(短距离):USB,火线,HDMI
图像/视频的压缩与显示
JPEG图像压缩
- 1991年3月,联合图片专家组提出JPEG标准草案,1994年正式通过
- 新的JPEG版本是JPEG-LS(1999)和JPEG2000(1999),与1999年3月形成草案,2000年正式颁布。主要应用于静止图像处理
- JPEG为有损压缩,压缩率在0.1~0.025之间
- JPEG2000支持无损压缩,压缩率略高于JPEG
MPEG-1
- 1992年,“运动图片专家组”(MPEG,Moving Picture ExpertGroup)提出了“用于数字存储媒体运动图像及其伴音率为1.5Mbit/s的压缩编码”,简称为MPEG-1,1993年正式通过。
- 这个标准主要是针对当时具有这种数据传输率的CD-ROM和网络而开发的,用于在CD-ROM上存储数字影视和在网络上传输数字影视
- 清晰度与老式模拟电视或录像带相同,352*240/288
- 第三部分是音频标准,即著名的MP3
MPEG-2
- MPEG-2标准从1990年开始研究,是一个直接与数字电视广播有关的高质量图像和声音编码标准,MPEG-2可以说是MPEG-1的扩充
- MPEG-2标准兼容MPEG-1标准,适应于1.5Mbit/s ~ 80Mbit/s编码范围MPEG-2提供了对多种清晰度的数字视频的支持
- MPEG-2声音,规定声音数据的编码和解码,是MPEG-1 Audio的扩充,支持多个声道
- DVD和高清电视(HDTV)音视频标准即依照MPEG-2
MPEG-4
- lMPEG-4从1994年开始工作,它是为视听数据的编码和交互播放开发算法和工具,是一个数据速率很低的多媒体通信标准
- MPEG-4的目标是要在异构网络环境下能够高度可靠地工作,并且具有很强的交互功能
- MPEG-4允许有自己的视频压缩算法;当今流行的DIVX、MKV等格式即在此基础上改进,包含了不同类型的高效压缩方法(如h.264, h.265等)
- 安防监控的视频传输及网络视频(电影)遵循MPEG-4,但有各类变体
显示设备参数
- 分辨率(最佳分辨率)及显示器尺寸
- 亮度和对比度:LCD的亮度以流明/平方米(cd/m2)度量,对比度是直接反映LCD显示器能否现丰富的色阶的参数
- 响应时间:响应时间是LCD显示器的一个重要的参数,它指的是LCD显示器对于输入信号的反应时间。
- 坏点:如果液晶显示屏中某一个发光单元有问题就会出现总不透光、总透光、半透光等现象,这就是所谓的“坏点”
最后
以上就是想人陪棉花糖最近收集整理的关于02数字成像系统照明模型颜色模型图像采集与传输图像/视频的压缩与显示的全部内容,更多相关02数字成像系统照明模型颜色模型图像采集与传输图像/视频内容请搜索靠谱客的其他文章。
本图文内容来源于网友提供,作为学习参考使用,或来自网络收集整理,版权属于原作者所有。
发表评论 取消回复