一、引出
在一些信号电路中通常会存在一些我们不需要的噪声,比如高频噪声。这个时候就需要滤波器来处理他们了。
二、滤波器电路图及其截止频率计算公式

一阶RC滤波器电路图如上,截止频率公式为:f=1/(2πRC)
如R=51Ω,C=22uF,则截止频率f=141Hz。意味着,高通RC滤波器会对低于141Hz的信号起抑制作用。低通滤波器会对高于141Hz的信号起抑制作用。(实际运用时,要留有余量,因为到达截止频率时,信号已经产生了3dB衰减,一般选取的截止频率值要比实际有用信号的最高频率稍大一些)
三、滤波器的阻抗匹配
运用上面的方法,可以很简单的设计RC滤波器,可是你会发现同一个频率可以有很多取值,比如R=51Ω,C=22uF,也可以换成R=510Ω,C=2.2uF,它们有什么区别呢?把实际的电路搭出来后,你会发现输出的波形和输入的波形,幅值不同,这是为什么?
这就涉及滤波器阻抗匹配的问题了,即滤波器自身也存在阻抗,会对信号起分压的作用,因此会导致输出信号降低。
以上面的低通滤波器为例,假设前级电路的输出阻抗为Ro1,后级电路的输入阻抗为RL2,那么等效电路图变为:

我们先来考虑低通滤波器的输入阻抗,等效图精简为:

滤波器输入阻抗:![]()
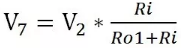
则图中Point7处电压为:![]()
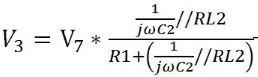
再来看滤波器输出阻抗与负载之间的关系,等效图为:

图中Point 3出电压:

根据V7和V3的公式,就可以得出输入信号与输出信号的关系,由此可知滤波器R、C值的选取对于滤波器的输出影响很大。R、C参数的选取很重要。
四、R、C的选取方式
在计算后截止频率的情况下,R、C的取值可以成倍变化,如51Ω、22uF变为510Ω、2.2uF或5.1欧姆、220uF。为得到幅值衰减最小的波形,要保证:
1、滤波器的阻抗R1+Xc大于前级输入阻抗,越大越好。
2、滤波器的电容阻抗Xc远远小于后级输出阻抗RL2。
注:内容来自http://www.elecfans.com/instrument/631912.html 电子发烧友《详谈一阶RC低通滤波器如何过滤高频噪声》整理而成
最后
以上就是难过紫菜最近收集整理的关于设计一个RC高通滤波器或低通滤波器的全部内容,更多相关设计一个RC高通滤波器或低通滤波器内容请搜索靠谱客的其他文章。
发表评论 取消回复