3GPP TS38.211 Clause 6.3.2(R16.7)
1、概述
PUCCH支持多个格式,如表TS38.211 Table6.3.2.1-1所示。若PUCCH format 1、3、4配置了时隙内跳频,第一个跳频的符号数为
,其中
是传输PUCCH的OFDM符号长度。
(Format 1、3、4是长格式,Foramt 0、1是短格式。)
PUCCH format | Length in OFDM symbols | Number of bits |
0 | 1 – 2 | ≤2 |
1 | 4 – 14 | ≤2 |
2 | 1 – 2 | >2 |
3 | 4 – 14 | >2 |
4 | 4 – 14 | >2 |
2、PUCCH格式
2.1、Format 0
2.1.1、序列生成
序列x(n)通过下列公式生成:
其中,
是根据低PARA序列生成(TS38.211 Clause5.2.2),对于Format 0、1、3、4,δ=0,序列组u和序列数v取决于序列跳频的高层参数 pucch-GroupHopping(TS38.211 Clause6.3.2.2.1),循环位移α取决于循环位移跳频的时隙和符号数(TS38.211 Clause6.3.2.2.2)。
2.1.2、映射到物理资源
序列x(n)会乘一个比例因子
来服从发射功率(TS38.213 Chapter7上行功控),从x(0)开始被映射到用于传输的RE
,在跨一个RB的物理资源上以索引k开始递增排序,然后是天线端口p=2000上的索引l。
对于交织传输,在分配PRB的激活BWP上,交织内的每个RB上重复交织。序列基于RB生成。
2.2、Format 1
2.2.1、序列生成
根据比特块
的大小
使用不用的调制方式,生成一个复值调制符号
。如果
为1,使用BPSK;如果
为2,使用QPSK。
复值调制符号d(0)乘上序列
,得到复值符号块
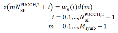
。再通过正交序列
分块展开:
其中,
根据PUCCH符号数和是否时隙内跳频给出,根据表TS38.211 Table6.3.2.4.1-1。当提供高层参数 intraSlotFrequencyHopping 时,无论跳频距离是0或没有,默认进行时隙内跳频,并且不使能交织映射。其他情况下,默认不进行时隙内跳频。正交序列
由表TS38.211 Table6.3.2.4.1-1给出,其中i是正交序列的索引,当参数 format 指示 PUCCH-format1 时,由PUCCH资源集中的参数 timeDomainOCC 给出(TS38.213 Clause9.2.1)。如果PUCCH传输跨多个时隙,复值符号d(0)在后续的时隙上重复。
2.2.2、映射到物理资源
序列z(n)会乘一个比例因子
来服从发射功率(TS38.213 Chapter7上行功控),从z(0)开始被映射到RE
,RE需满足:① 在分配给传输的RB中;② 不用于相关的DMRS。
映射到不为其他目的预留的RE是以索引k开始,在分配的PRB内递增排序,然后是天线端口p=2000上的索引l。
对于交织传输,在分配PRB的激活BWP上,交织内的每个RB上重复交织。序列基于RB生成。
2.3、Format 2
2.3.1、加扰、调制
比特块
首先根据
进行加扰,生成加扰比特块
,其中,
是加扰序列,使用
初始化,
由C-RNTI给定,
由参数 dataScramblingIdentityPUSCH 确定,若未配置该参数则等于
。
加扰比特块
使用QPSK调制,生成复值调制符号块
,其中,
。
2.3.2、展开
根据以下公式展开生成复值符号块
:
其中,如果配置高层参数occ-Length 且未配置参数 interlace1,那么由
参数occ-Length给定,正交序列
由表TS38.211 Table 6.3.2.5A给定,
,
是高层参数 occ-Index 给定的正交序列索引,
是高层参数 Interlace0 给定的交织内的交织RB数;否则,
,
。
当
时PUCCH format 2的正交序列
当
时PUCCH format 2的正交序列
2.3.3、映射到物理资源
复值符号块
会乘一个比例因子
来服从发射功率(TS38.213 Chapter7上行功控),从z(0)开始被映射到RE
,RE需满足:① 在分配给传输的RB中;② 不用于相关的DMRS。
映射到不为其他目的预留的RE是以索引k开始,在分配的PRB内递增排序,然后是天线端口p=2000上的索引l。
2.4、Format 3、4
2.4.1、加扰、调制
加扰过程与PUCCH format 2一致。
加扰比特块
使用QPSK调制,除非配置了π/2-BPSK。生成复值调制符号块
,其中,若用QPSK调制,
;若用π/2-BPSK调制,
。
2.4.2、分块展开(block-wise spreading)
对于Format 3和4,
=
,其中,
是以RB数表示的PUCCH带宽,s∈{3, 4}(根据TS38.213 Clause9.2.3、9.2.5给出)。
对于format 3,对于非交织映射,要满足
,
是非负整数;对于交织映射,若配置一个交织,
=10;若配置两个交织,
=20。
对于format 4,对于非交织映射,要满足
=1。
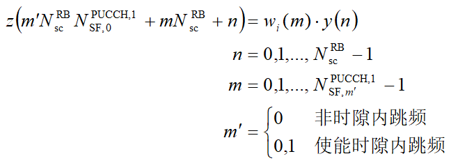
对于format 4和交织映射的format 3,根据以下公式进行分块展开:
其中,
对于交织映射的format 3,若配置一个交织,
∈{1,2,4},若提供了高层参数 occ-Length ,
∈{2,4},否则
=1;若配置两个交织,
=1,
=1。
对于format 4,
∈{2,4},由高层参数 occ-Length 给定。
对于
>1,正交序列
由表TS38.211 Table 6.3.2.6.3给定,n是正交序列的索引。
当
时交织映射 format 3和format 4的正交序列
当
时交织映射 format 3和format 4的正交序列
对于未配置交织映射的format 3,则不应用分块展开,
≥1,
=1且
2.4.3、变化预编码(Transform precoding)
复值符号块
根据以下公式进行变化预编码:
生成复值符号块
。
2.4.4、映射到物理资源
复值符号块
会乘一个比例因子
来服从发射功率(TS38.213 Chapter7上行功控),从z(0)开始被映射到RE
,RE需满足:① 在分配给传输的RB中;② 不用于相关的DMRS。
映射到不为其他目的预留的RE是以索引k开始,在分配的PRB内递增排序,然后是天线端口p=2000上的索引l。
时隙内跳频的情况下,
个OFDM符号在第一个跳频里传输,
个OFDM符号在第二个跳频里传输,其中,
是一个时隙内用于PUCCH传输的OFDM符号数。
最后
以上就是从容台灯最近收集整理的关于NR PUCCH(一)格式及调制、映射1、概述2、PUCCH格式的全部内容,更多相关NR内容请搜索靠谱客的其他文章。
发表评论 取消回复