LoRa是长距离和低功耗物联网协议的物理层,而LoRaWAN代表的是MAC层。
LoRa/LoRaWAN可以由任何人构建、定制和管理。如果你选择不使用运营商,则没有运营商或服务级别协议。LoRa和LoRaWAN提供了只有在CBRS和Multefire中才能看到的灵活性。在使用任何通信构建架构时,了解货币化对扩展的影响是很重要的。

LoRa是LoRaWAN网络物理层中使用的调制技术;基本上是CSS (ChirpSpread Spectrum) 调制,用于使
用不同的扩频因子提供不同的数据速率。
LoRa物理层
LoRa代表LoRaWAN网络的物理层。它管理调制、功耗、接收器和传输无线电以及信号调节。
该架构基于ISM免许可空间的以下频段:
- 915 MHz:在美国,有功率限制,但没有占空比限制
- 868 MHz:在欧洲,占空比为1%和10%
- 433 MHz:在亚洲

线性调频扩频(Chirp Spread Spectrum,CSS)的衍生物是用于LoRa的调制技术。CSS在固定的信道带宽内平衡了数据速率和灵敏度。CSS在20世纪40年代首次用于军事远程通信,使用调制线性调频脉冲编码数据,并发现对干扰、多普勒效应和多径有特别的干扰抵御能力。线性调频信号是随时间增减的正弦波。由于它们使用整个信道进行通信,因此在干扰方面相对来说比较稳健。我们可以把线性调频信号看作增加或减少频率(听起来像鲸鱼的叫声)。

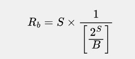
LoRa使用的比特率是线性调频率和符号率的函数。比特率用Rb表示,扩展因子用S表示,带宽用B表示。
因此,比特率(bit/s)的范围可以从0.3 kbit/s到5 kbit/s不等,其计算方法是:

正如军方发现的那样,这种形式的调制允许在长距离上使用低功率。使用增加或减少的频率速率对数据进行编码,可以在同一频率上以不同的数据速率发送多个传输。
CSS允许使用FEC在噪声地板以下19.4 dB的地方接收信号。该频带还被细分为多个子频带。LoRa使用125 kHz信道,并奉献了6个125kHz信道和伪随机信道跳频。一个帧将通过特定的扩频因子传播。扩频因子越高,传输速度越慢,但传输范围越长。在LoRa中的帧是正交的,这意味着只要每一帧以不同的扩展因子发送,就可以同时发送多个帧。总共有6种不同的扩频因子(SF= 7到SF = 12)。
典型的LoRa数据包包含一个前导码、报头和51~222字节的有效载荷。
LoRa网络有一个强大的功能,称为自适应数据速率(Adaptive Data Rate,ADR)。从本质上讲,这可以根据节点和基础设施的密度动态地扩展容量。
ADR由云端的网络管理控制。由于信号可信度的原因,靠近基站的节点可以设置为较高的数据速率。与远处的节点相比,距离近的节点可以快速传输数据、释放带宽并进入休眠状态,而远处的节点传输速率较慢。
表介绍了上行链路和下行链路的特性:

最后
以上就是多情路灯最近收集整理的关于LPWAN——LoRaWAN的物理层LoRa调制技术详解的全部内容,更多相关LPWAN——LoRaWAN内容请搜索靠谱客的其他文章。
发表评论 取消回复