本文讲解文件存储中绝对路径和相对路径的区别和联系。简单来讲,绝对路径是把文件所在的完整路径逐一标识出来,相对路径是对某个目录的参考路径,在实战项目的开发中,相对路径会使用的多一些,绝对地址可以用于开发调试环节。

一、文件名的组成
在操作系统中,文件名一般由硬盘号、硬盘路径、主文件名和扩展名构成。

比如我在 D 盘的某个文件夹下新建了一个 helloWorld.java 文件,如下图所示。

那么,这个 helloWorld.java 文件的完整文件名应该是:
D:testhelloWorld.java
其中,硬盘号是 D:。
硬盘路径是 test。
主文件名为 helloWorld。
扩展名为 .java。
无论是 Window 系统还是 Linux 系统,都遵循这样的文件命名规范。
理解了文件名的概念后,我们来了解下绝对路径和相对路径的区别和联系。
二、绝对路径和相对路径
绝对路径又称完整路径,是从盘符开始的路径,比如 D:/test/helloWorld.java 就是一个绝对路径。
相对路径是从当前目录开始的路径,比如 ./src/helloWorld.java 就是一个相对路径
绝对路径的长度长,不太好记,但适用范围广。
相对路径的长度短,方便记忆,但适用范围窄。
提示:一般在 Vue 项目对图片进行引用时候,可采用这类引用语法,如下所示。
src: require(“@/assets/file.png”),

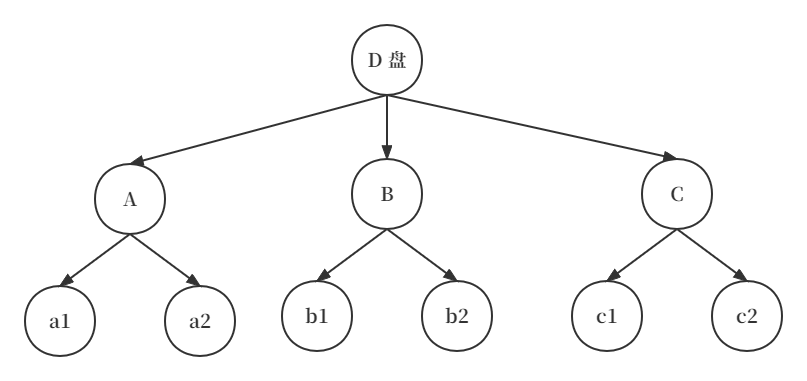
比如在 D 盘中存放了 A、B、C 三个文件夹,在其文件夹中分别存放了 a1、a2、a3、b1、b2、b3、c1、c2、c3 九个子文件夹,如下图所示。

对于子文件夹 a2 来说,他的绝对路径为:
D:/A/a2
但对于文件夹 A 来说,它的相对路径为:
./A/a2
请注意,相对路径一定要有参考对象,否则没有相对路径。
三、场景应用——固定电话
以上讲解绝对路径和相对路径的内容有点枯燥,接下来以一个生活中实际用到的例子来说明,绝对路径和相对路径的区别和联系。

如果作者是浙江宁波的手机号,需要拨打 6281 0001 这个固定电话,则直接拨打 6281 0001 即可,这种拨打方式就是采用相对路径扫描到目标电话。
如果作者不是浙江宁波的手机号,则在固定电话之前需要加拨区号,需要拨打 0574 6282 0001,否则不能拨打成功。
如果作者在国外,不但需要加拨区号,还要加拨国际区号,需要拨打 +86 0574 6282 0001,否则不能拨打成功,这个号码可以理解为绝对路径。
四、总结
简单来讲,绝对路径是把文件所在的完整路径逐一标识出来,相对路径是对某个目录的参考路径。
在实战项目的开发中,相对路径会使用的多一些,因为作为开发者,不能去固化系统部署的目录,这样会给运维人员带来不变,也不利于自己系统的部署工作。
绝对地址可以用于开发调试环节,引用一个绝对文件进行测试,这样是可取的。
最后
以上就是呆萌银耳汤最近收集整理的关于【软考学习14】绝对路径和相对路径的区别和联系的全部内容,更多相关【软考学习14】绝对路径和相对路径内容请搜索靠谱客的其他文章。
发表评论 取消回复