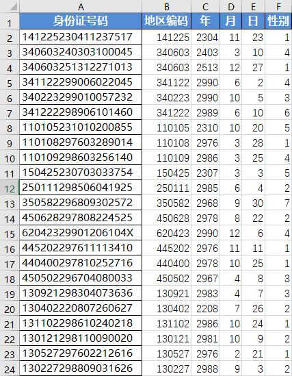
在身份证号中提取地区编码、年、月、日以及性别。

1、菜单法
选择A列数据,【数据】—>【数据工具】—>【分列】

2、函数法
- LEFT(text,num_chars):得到字符串左部指定个数的字符
- RIGHT(text,num_chars):得到字符串右部指定个数的字符
- MID(text,start_num,num_chars):得到字符串指定位置开始的指定个数的字符

最后
以上就是不安太阳最近收集整理的关于EXCEL【数据处理之数据抽取——字段拆分】的全部内容,更多相关EXCEL【数据处理之数据抽取——字段拆分】内容请搜索靠谱客的其他文章。
本图文内容来源于网友提供,作为学习参考使用,或来自网络收集整理,版权属于原作者所有。
发表评论 取消回复