在无线传感器网络设计中,无线收发机的节能是一个非常关键的问题。为进一步减小功耗,只有通过减少无用的工作时间。无线通信时,射频大部分处于接收状态,也是主要的能量消耗所在。当无线传感器网络中信息量较小,而节点必须随时准备接数据。理想的状态是当有信息需要接收时,节点处于接收状态,无信息接收时,节点处于睡眠状态。这就需要无线唤醒技术,这里的无线唤醒从现象上看,好像发射机把接收机从睡眠中唤醒,其实接收机是周期性得自动醒来,在醒来的极短时间内若没有发现呼叫信号,则马上睡眠,若正好有呼叫信号,则被唤醒而进入接收状态。所以在没有呼叫信号时,接收机平均耗电较低。
关于如何发现呼叫信号,以及发现什么信号,传统的做法是载波场强指示(RSSI),虽然RSSI不是一个时间量,但利用它可以减少接收机的无用激活时间,节省能量。RSSI能够测量无线信号强度,我们可以设置合适的阈值,只有当信号强度足够强时才认为是有效的,唤醒节点,相反 ,当信号强度低于阈值时,认为信道是空的,不唤醒节点。随着扩频调制技术的应用,人们在确定可能低于接收机底噪声的信号是否已经使用信道时,面临重重挑战。这种情况下,使用RSSI无疑是行不通的。为了解决这个问题,可使用信道活动检测器来检测其他LoRa信号。
Lora数据包由三个部分组成部分:前导码、可选报头、数据有效负载。如下图所示:

信道活动检测模式旨在以尽可能高的功耗效率检测无线信道上的LoRa前导码。在CAD模式下, SX1276/77/78快速扫描频段,以检测LoRa数据包前导码。
在CAD过程中,将会执行以下操作:
1. PLL被锁定。
2.无线接收机从信道获取数据的LoRa前导码符号。在此期间的电流消耗对应指定的Rx模式电流。
3.无线接收机及PLL被关闭,调制解调器数字处理开始执行。
4.调制解调器搜索芯片所获取样本与理想前导码波形之间的关联关系。建立这样的关联关系所需的时间仅略小于一个符号周期。在此期间,电流消耗大幅度减少。
5.完成计算后,调制解调器产生CadDone中断信号。如果关联成功,则会同时产生CadDetected信号。
6.芯片恢复到待机模式。
7.如果发现前导码,清除中断,然后将芯片设置为Rx单一或连续模式,从而开始接收数据。
信道活动检测时长取决于使用的LoRa调制设置。下图针对特定配置显示了典型CAD检测时长,该时长为LoRa符号周期的倍数。 CAD检测时间内, 芯片在(2SF+32)/BW秒中处于接收长,该时长为LoRa符号周期的倍数。 CAD检测时间内, 芯片在(2SF+32)/BW秒中处于接收模式,其余时间则处于低功耗状态。操作流程图如下所示:

由于CAD检测的时数据包的前导码部分,结合节点定期检测时间,需要设置合适的前导码发送时间,则要设置一定的前导码长度,关于前导码的长度,可以通过配置相应寄存器实现。前导码寄存器地址 0x20,0x21,如下图所示,可以将前导码寄存器长度设置在6到65536之间来改变发送前导码长度。

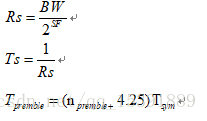
前导码发送所需时间计算如下:
Rs为速率,BW为带宽,SF表示扩频因子,Ts为发一个symbol的时间,Rs为速率,Tpreamble发送前导码所需的总时间,npreamble表示已设定的前导码长度大小,Tsym为发每个preamble symbol的时间。
最后
以上就是冷酷唇彩最近收集整理的关于LoRa信道活动检测(CAD)的全部内容,更多相关LoRa信道活动检测(CAD)内容请搜索靠谱客的其他文章。
发表评论 取消回复