1. 变换编码
-
变换编码的目的
- 去除空间信号的相关性
- 将空间信号的能力集中到频域的一小部分低频系数上
- 能量小的系数可通过量化去除,而不会严重影响重构图像的质量
-
块变换和全局变换
- 块变换:离散余弦变换(Discrete Cosine Transform,DCT),4x4,8x8,16x16
- 全局变换:小波变换(Wavelet)
-
变换的能量集中特性
- DCT编码

2. 变换类型
- K-L变换
- 傅里叶变换
- 余弦变换
- 小波变换
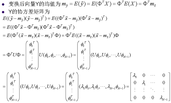
3. KL变换
- 最优变换
- 基函数根据具体图像而确定
- 没有快速算法
-
实际中很少使用
- 复杂度极高





-
K-L变换非常复杂度很高,不实用
- 需要计算协方差矩阵U
- 需要计算特征向量
- 需要发送 到解码器
4. 离散傅立叶变换

5. 离散傅立叶变换性质


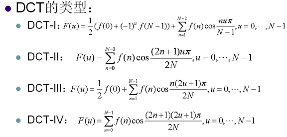
6. 离散余弦变换
- 比K-L变换,傅里叶变换的复杂度更低
- 变换性能仅次于K-L变换
- 有快速算法可以加快变换速度
- 可以用整数变换进一步降低复杂度




7. DCT与DFT的关系

8. 离散余弦变换的重要性质





9. 快速DCT变换


下图是一个动态展示:



10. 整数离散余弦变换
-
离散余弦变换为浮点操作
- 需要64位精度
- 浮点计算复杂度高
- 变换精度高
-
整数变换:离散余弦变换的整数近似
- 需要更少的位宽
- 整数计算复杂度低
- 好的整数变换的变换精度接近浮点变换
- 浮点近似方法



11. H.264的4x4整数变换








12. 小波变换
- 新的变换方法
- 避免由于块编码带来的块效应
- 更适合视频空间可分级编码
最后
以上就是呆萌早晨最近收集整理的关于第6章 变换编码的全部内容,更多相关第6章内容请搜索靠谱客的其他文章。
本图文内容来源于网友提供,作为学习参考使用,或来自网络收集整理,版权属于原作者所有。
发表评论 取消回复