学习 Python 数学模块
在本教程中,我将向您展示如何使用内置的 Pythonmath模块。
什么是数学模块?
它是 C 标准定义的数学模块。数学模块提供对数学函数的访问。
我知道我在上面的陈述中使用了一些行话。让我清理一下混乱。上述陈述中的重要术语是模块、C 标准、数学函数。
- 模块:包含一组语句 和定义 的文件称为模块。例如,该文件program.py称为模块,模块名称为program. 您将在后面的教程中了解如何使用模块。
- C标准:我们也叫它libc(意思是库C),是C编程语言的标准库。C 标准库提供了几个字符串处理函数、数据类型、数学计算、过程控制等等。
- 数学函数:这些是标准 C 库提供的一组函数。它们包括abs, labs, div, max,min等等。
为什么我们需要使用数学模块?
好吧,答案很简单:每当我们需要执行数学运算时,数学模块就会派上用场。让我给你一个简单的例子。测验时间到了!
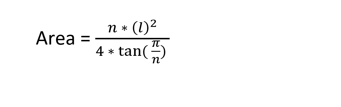
计算一条有 4 条边且边长为 20 的普通蟒蛇的面积
让我给你一些参数和该区域的公式。现在只计算面积而不使用 python 中的数学模块。很有挑战性对吧?
求正多边形面积的公式是:

现在参数
最后
以上就是单薄大象最近收集整理的关于学习 Python 数学模块之 为什么我们需要使用数学模块什么是数学模块?为什么我们需要使用数学模块?的全部内容,更多相关学习内容请搜索靠谱客的其他文章。
本图文内容来源于网友提供,作为学习参考使用,或来自网络收集整理,版权属于原作者所有。
发表评论 取消回复