我是靠谱客的博主 坦率方盒,这篇文章主要介绍三元组顺序表表示的稀疏矩阵加法_群论笔记-群表示论(1),现在分享给大家,希望可以做个参考。

本文组织如下:先补充完整群的基本概念中直积与半直积的内容;再引入群表示论。


直积的定义有些拗口,我用自己的语言表述一下,可能不是很数学:将两个群各自的一个群元素

并排放在一起形成新群的群元,新群的元素记为
。这个新群是
的直积群,记作
。直积群的群乘为
,即来自同一个群的先做完群乘,再把不同的群乘结果并排放在一起。

直积群是否构成一个群需要简单的论证,但过于显然不需要论证。特别地指出,直积群的单位元为两个群的单位元的直积,即

的逆元为
,这里不像其他地方提到新的群的逆元时通常会各自取逆并交换顺序,因为直积群的两个群元分属两个群,所以这里的并排言外之意是可以没有群乘的关系,即允许交换律

个人选择用一个不严格的但是已经接触过的例子来理解直积的概念:对于一个二粒子系统

,算符
其中算符
仅作用于粒子1,算符
仅作用于粒子2,有
。这里没有写成“并排”的样子,而是给元素也加上了
来强调直积。至于算符和波函数是否构成一个群,可以在学了后面的内容之后再来具体讨论。

这个例子见:

HelgaE:高等量子理论-角动量相关笔记(2)​zhuanlan.zhihu.com
8c1b59729a8d4d09bcb8cdc0925ec9cb.png

直积满足的交换律,意味着两个群的群元之间的乘法关系是对易的,而这里的对易有两种:一是两个群的群元之间的群乘数学上是对易的,也就是真正意义上的

;二是两个群是完全无关的,所以自动对易。物理上来说,第一种对易类似于
(从本质上来看的话,这个也可以算第二种)或者
(这一个看上去很trivial,实际上很合适);第二种对易类似于
或者
其中算符
仅作用于粒子1,算符
仅作用于粒子2(就是上面的那个例子)。

两个群的直积可以构成一个新的群,对应地,从一个群也可以通过直积分解出两个群。

直积因子:如果群G有两个子群

,每个群元可以唯一表示为
,其中
,且G的群乘满足
。则称G是其子群
的直积,子群
是G的直积因子。

这里的子群

只有单位元一个公共元素,证明很简单,如果有第二个公共元素p,那么
,与“可以唯一地被表示”矛盾,即证;两个子群都是G的不变子群,证明也很简单,对来自
的元素
,其同类元素
仍在
中,
同理,即证。

一个简单的例子:二维平面上的矢量相加群,可以分解为一维的x方向的矢量相加群和y方向的矢量相加群,该平面上任何一个二维矢量都可以表示为x方向的矢量和y方向的矢量的直积(也是相加)。这两个一维矢量相加群只有一个公共元素0矢量,为它们的单位元;很显然,也都是二维矢量相加群的不变子群。

100e7de51d134529b1e614597fe99e8b.png

第二个简单的例子,正如前面说过,6阶循环群可以分成

两个不变子群,它们之间的群乘是对易的(因为本身是阿贝尔群),
是6阶循环群的直积因子。

第三个是反例,

群的两个子群
,群中的元素可以唯一地表示为
,但是两个子群进行的群乘不符合交换律,所以它们不是直积因子,同时,
也并不是不变子群。

半直积:设群

,对
,存在自同构映射群
与它同态,即对任意
,总可以通过该同态映射找到一个
的自同构映射
。定义由一个
的群元构成的有序对
形成的集合,群乘为
,构成一个
的半直积群,记作

半直积从定义上看很复杂,其重点是构造一个能够把两个群联系在一起且可以形成群乘的关系。群乘做的事是把

通过
对应的自同构映射
映射成
中的另外一个群元,然后才能与
交换。半直积中
有预处理的交换对标直积中 没有任何要求的交换,另外还需要注意,由于这种交换是有顺序的,所以半直积也有强调顺序的,即

半直积群是否构成一个群需要证明:

证明:
封闭性:群乘结果仍为一个
的有序对,封闭性成立。

结合律:
式子左边为

注意这里的
,代表了
的群元
通过同态映射对应的那个自同构映射。

式子右边为

这里第二行到第三行是这样的:
,而注意到
同态,映射的乘积等于乘积的映射,所以很自然地,
,即证结合律。

单位元:很显然,为

逆元:
,带入验证

即证半直积群构成一个群。

是群G的不变子群,但
并不是,(如果是,则半直积成为直积)。在前面举直积对例子时提到了反例
群,实际上,这可以分解成两个子群的半直积:

两个子群

是不变子群,其自同构群有两个群元:
有同态映射:
,(同构也是同态的一种),因此有半直积群
。举个群乘的例子:
,对应到原本的
群中,就是

群表示论需要一些幼儿园级的线性代数知识,在这里只简单写出定义。

线性空间:线性空间又叫向量空间,它是定义在数域K(可以是实数域R,也可以是复数域C)上的向量集合

,在V中可以定义加法和数乘两种运算,设
,向量加法和数乘具有封闭性,且对加法满足:

交换律,

结合律,

单位元为零向量

逆元为

对数乘满足:

这些条件满足的话,V这个向量集合就构成一个线性空间。

线性相关/线性无关:在线性空间V中,任意n个向量

的线性组合
当且仅当所有的
时成立,其中这些系数都是线性空间数域 K 上的数,这时,称
这些向量线性无关。否则,它们线性相关。

维数:线性空间中线性无关的向量的最大个数m,称为线性空间的维数,记为

基矢:若V是n维线性空间,则V中任意一组n个线性无关的向量可以构成V的一组基矢

线性变换:将线性空间V映入V的映射A,满足

,有
,将A称为线性变换。

线性变换群:n维复线性空间V上所有非奇异线性变换组成的集合,群乘为依次进行两个线性变换,构成n维复一般线性变换群

,其子群
称为V上的线性变换群。

n为线性空间的线性变换可以表示为n阶方阵,非奇异的要求是为了保证逆元的存在。一般线性变换群

包含了所有的线性变换,也就是所有的非奇异n阶方阵,对于特定的抽象群,我们需要用到的是其中的某些线性变换而不是所有,因此线性变换群
更加常用。

线性表示:从群G到n维线性空间V上到线性变换群

的同态映射A成为群G的一个线性表示,记为

显然,A的单位元为恒等变换,逆元为互逆的变换。当然,也存在非线性表示,但是这课不讲。线性表示在后面简称为表示。

忠实表示:从群G到n维线性空间V上到线性变换群

的同构映射A成为群G的一个忠实表示。

接下来是几个例子,便于更好地理解群表示:

1,任何群始终与1(一阶单位矩阵)同态,即1是任何群的表示,称为一维恒等表示,或者显然表示,因为它太显然了,所以一般也不考虑它。

2,任何矩阵群都是自己的忠实表示。这个也很显然。

3,给定以下三个群:

,其中
表示三维空间对xy平面的反射,
表示绕z轴旋转
,它们三个群都与二阶循环群
同构。用矩阵直观地表示出来:
注:这几天知乎的公式编辑器换行出了问题……矩阵弄不出来,只好在本地写出来截图了

一个笛卡尔坐标下的向量

,某个线性变换A的作用
用A的矩阵表示
可以表示为
,这里是矩阵乘法。

首先单位元E都是一样的,为对应维度(三维)的单位矩阵:

b3d024bbc1165504ab936847f3eea19d.png

表示三维空间对xy平面的反射,即xy不变,z变相反数:

526bfa43c456e51e379cda87de6c4e3d.png

表示绕z轴旋转
,即z不变,xy都变相反数:

d7b92d2a315654faebe70631eff3b5f5.png

I表示空间反演,即xyz都变相反数:

900e39c16ed7c879dc2936ee148e7c09.png

4,对

群,笛卡尔坐标下表示为:

0b0b1377faf696e79827a371a93d92e2.png

形如这样的矩阵有无数多个(

可以取遍0到
的所有实数)。

5,对

群,选择三角形的重心在原点,边BC平行于x轴放置,e可以表示为:

be86216a4c72096de7b54df7f1dc934c.png

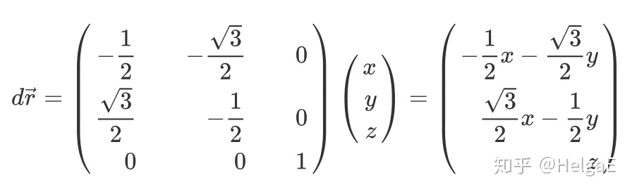
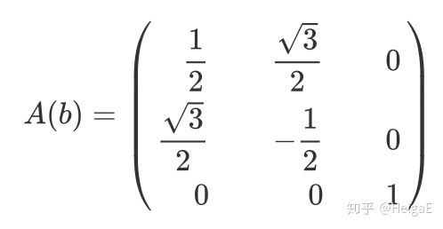
d和f可以用

群算出来:

33f6e54136116b82fe823a71c06e09c5.png

f11fc5bea473503bc86706e9d7ed5768.png

a,b,c求起来比较麻烦,这里提一下思路,以a为例:

首先,虽然这是在三维空间,但实际上这个三角形始终在空间内的xy平面上,z轴坐标恒定不变为0,所以可以写为

496a13cd566c70c39ded43c57adfa6a6.png

其中

都是可以的,教材上用的-1,但我个人觉得-1反而意义不明。(或许是想表示翻了一转?)。
如果有其他原因导致这里只能取-1,请务必告诉我!

然后按三角形边长为1为例,给出A,B,C三个点的坐标:

然后代入

e2bc5ae01c1fce33144692e77c644f46.png

(由于这个矩阵的特殊性,可以简化为二阶矩阵的计算)

b361f999494bb4f0d0cf1ce82b42c8b1.png

计算过程略,解得:

c9cc0a10cdd60c2915ce171c3f4a80df.png

同理,可以解b和c:

cb3ab62742ac5b006c75e2c352da56e2.png

65811fd070161b3d382f9c90b46348a4.png

以上就是

群的一种表示,下面介绍第二种表示,
核心内容是变换基矢时的操作方法

给定这样一组基矢:

以e为例,

,得e对
的展开系数为(1,0,0,0,0,0),这个步骤对
依次进行依次,最后得到一共6组展开系数,将它们作为6个纵向量,排在一起,得到矩阵

cc5875cd58f21ed1ba0d372a4f6f3c6f.png

这个结论很符合直觉,所以可能不是那么有感觉。所以再以a为例:

,得a对
的展开系数为(1,0,0,0,0,0);

同理,

分别得到展开系数为(0,1,0,0,0,0)和(0,0,1,0,0,0);

,展开系数为(0,0,0,-1,0,0)……

最后可以得到,

86da779d72ba1277c10d7305b05fbb37.png
注:这里与教材上结果不同,是因为我选取了
而教材上是-1。

e和a的表示都很简单,接下来再考察复杂一点f:

先算出

00948bf6faee8f15d7dbb185a8993b8d.png

于是可以算出,

得到系数为

,其余5组同理,最后可以得到:

03a6c2664cbdd2dee61f210fe61ce139.png

为了验证正确性,也给出d:

58a41c5a129d16f89a124d2bf22430f8.png

由于在

群中,d和f互为逆元,所以它们用矩阵表示也应该是互为逆矩阵(注意不是互为转置矩阵),这个
的怪物矩阵我是不想算了,所以用python快速地验证一下:

8925cb278efb3ab185bb110715966930.png

5434661c13503e5296a7ac08b89056b6.png

从结果上来看,显然它们是互逆的。


(未完待续…)

最后

以上就是坦率方盒最近收集整理的关于三元组顺序表表示的稀疏矩阵加法_群论笔记-群表示论(1)的全部内容,更多相关三元组顺序表表示内容请搜索靠谱客的其他文章。

本图文内容来源于网友提供,作为学习参考使用,或来自网络收集整理,版权属于原作者所有。
点赞(211)

评论列表共有 0 条评论

立即
投稿
返回
顶部