一、实验目的与要求
1、掌握最小拍无纹波系统的计算机控制脉冲传函D(z)的设计方法。
2、掌握SIMULINK的仿真方法。
二、仿真软硬件环境
PC机,MATLAB R2012b。
三、实验原理
如图 R为输入,C为输出。计算机定时采样,计算误差E,按D(z)计算输出控制量U。

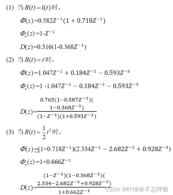
四、D(z)设计
已知:

则广义对象的脉冲传函为:


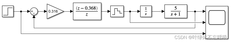
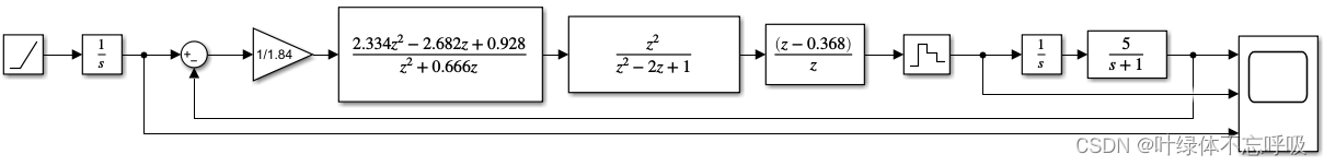
五、SIMULINK仿真结构图
(1) R(t)=l(t)

(2) R(t)=t

(3) R(t)=(1/2)*t^2

六、仿真波形记录

七、思考题
1、最小拍无纹波系统输出是否无波纹?为什么?
答:最小拍无纹波系统输出无波纹。因为采用Z变换方法进行设计,保证采样点上误差为零或保持恒定,并在典型输入信号的作用下,经过有限拍系统达到稳定,且在采样点之间没有波纹,输入误差为0。
微信公众号:创享日记
发送关键词:计控五
获取无水印报告+simulink源文件
最后
以上就是和谐大炮最近收集整理的关于最小拍无纹波系统仿真实验(计控实验五simulink)的全部内容,更多相关最小拍无纹波系统仿真实验(计控实验五simulink)内容请搜索靠谱客的其他文章。
本图文内容来源于网友提供,作为学习参考使用,或来自网络收集整理,版权属于原作者所有。
发表评论 取消回复